之前我们曾经多次分享过这位号称来自未来穿越过来的数学家,他的数学小故事和数学具体,今天我们来看看他的那些思想背后的本质啊,地规思想,而这种地规思想又被称为神级思想。 要弄清楚地规思想,首先得弄清楚迭代啊。迭代思想和地规思想是计算机里面的两种思想, 虽然他源于数学,但在计算机里面的应用最为广泛。那什么叫迭代呢?举个最简单的例子啊,我们看十斤字里面的数, 从零一二三一直到九,当我们重复到十位数的时候,十一直到十九,当我们重复到二十的时候,我们会发现他重复的重复 负在哪里呢?他的个位数永远是循环的,在数学上,我们叫做这个过程,叫迭代啊,迭代是每一次对同一过程啊的重复, 叫迭代。这种迭代在我们生活中随处可见啊,就比如说最常见的一年三百六十五天,一天二十四个小时啊, 我们的时钟每天都在做这样的迭代啊,他转了十二个小时,又转了十二个小时啊,一次又一次,这是最常见的一种迭代。而这种迭代在计算里面最常见的是周全数啊, f n 加 x 等于 f x 这种周期函数啊,他是种简单的重复,这种简单的重复在三角函数里面非 非常常见啊,这是非常简单的迭代的思想,而地规思想却比他更进一步啊。计算机界的大咖彼得多一起,他说,迭代是人类的思想, 而地规呢,却是神的思维啊,那地规是一种怎样的思想?凭什么叫它神的思维呢?迭代可以认为是种简单的重复,我们发现了一种简单的规律啊,而拉玛鲁金恰好是这种地规思想的极大成者, 正是因为他用了这种低规思维去学习数学,他才会被称为穿越而来的数学家。因为这种低规思想是一种计算机计算一些复杂过程,巧妙过程的方 方式,可以说他用先进的计算思维提前几百年解决了好的问题啊,提出了好多公式,所以他才会被称为穿越而来的数学家。 具体到数学实力,他是怎样的表现呢?用通俗的话来解释就是自己套用自己啊。呃,什么叫自己套用自己呢?举一个我们非常常见的例子啊,菲波纳奇术内 就是一个典型的自己调用自己的例子,因为第三项等于前两项的和,而这一项又等于前两项的和,这个也是啊,他是这样不断的迭代下去的, 不停的写下去,这个就是自己套用了自己啊。我们可以把 f 这个函数简单的理解成一个外套吧,我们会发现他在计算的过程中不 不断的引用了自己的外套。那具体的拉莫鲁基是如何用这种地规思想的,就不得不从他的早年四季说起啊。作为一个来自印度的学家,并没有接触什么非常高深的数学知识啊,他只是自学了一本高等三角函数, 在不停的演算的时候,他发现了关于三点函数非常多的一个规律啊,用的就是地规的思想, 比如说他算二倍的十二五十四度,他把它做了一个巧妙的变化,加二根号里面变成四倍的十二五十度平方, 而这个实际上是二倍的扩散三十六度的平方,用二倍的扩散阿尔法的平方,实际上是一加扩散阿尔法 啊,我们知道这个是啥,所以这个可以化剪成继续化剪啊,而口感切大度又可以写成十二一十八度,那接着把它继续写, 而这个同样的, 根据这个测试而狂染三十六度刚好是三五十四度啊,也就是写成了, 写到这里我们就会发现啊,他自己里面含的自己啊,这就是迭代的思想,他自己等于他自己啊。而这个又可以用根号二加上根号二减去二百的三五十四度 表示啊,那不断的往里面叠加,它就会写成这种形式啊,那很显然,这个化简过程中就用到了这种地规的思想,自己调用自己,自己用自己啊, 他闲来无事的时候就喜欢做这样的运算,于是啊,不止对普通的三角函数做这样的运算啊,也做这样的运算,他假设了一个 x 等于根号一加 x, 于是啊,这个 x 本身又是等于根号一加 x 的啊,带进去自己利用自己啊, x 又等于根号一加 x 啊,他是根号一加根号一加根号一加 x, 这样不断的叠带下去,是根号一加根号一加根号一。而他又把他的 x 求出来, x 方等于 x 加一, x 方减, x 减一等于零, x 等于一加减,根号五 除以二,我们只取正式二分之根号五加一。来看下,这个是个正的吗? 他用地规的思想创造了这种无穷地推的书念啊,这种无穷地推,归根结底是一种地规的思想, 他不只是这种含有未知数的低规啊,他把一个数字也能够做成这样的低规,比如说他写了,然后把这个变换一下, 里面变成了 n 方加四, n 加三加一啊,为什么写成这样呢?因为这个可以因字分解啊, 这个结构和这个结构非常像啊,如果让 f n 等于 n 乘以 n 加二, 那么 fn 加一等于 n 加一乘以 n 加三,我们会发现他依旧是自己电用自己啊。 fn 等于 n 乘以根号一加 fn 加一啊,这个电用自己很有趣啊, 就比如说 f 一是等于一乘以根号一加 f 二的,而 f 二是等于根号 二乘以根号一加 f 三, f 三等于三乘以根号一加 f 四。来看下,这个可以带进去啊,这个也可以带进去,我们不断的带进去,会发现 f 一等于 根号一加二倍的根号一加三倍的根号一加四倍的根号一啊,而 f 一本身是一乘以三的 等于三,三就可以表示从这样的无穷的地推数量,就是因为这种地规的思想啊,那么你成功的把这种整数进行了无穷 地推,不只是这种年根式的无形地推啊,还有年分式的无形地推, 比如 x 等于一除以一加 x, 那么这 x 又是一除以一加 x 啊,不断的叠加下去,就是 x 等于一除以一加上一除以一加上一除以一啊, 这是无穷的年分式啊,这种思想从本质上讲是种地规的思想啊,而这种地规的思想在解决许多数学难题时有非常重要的应用,而且一旦用计算机来解的话,只要简简单单的几行代码 就可以解决一个数学难题啊,不管是哪种计算机语言啊,他的核心算法依旧是数学思想啊, 而这种地规思维啊,恰恰是学计算机的人必须掌握的一种思维。当然呢,也是拉莫伦基在他的那个时代领先了四人几百年的思想。 ok, 更多的有趣的趣问题,可以翻看我的合集和订我的真的关注我,让学习变得更有趣点。
粉丝60.0万获赞564.9万

数学奇才拉玛鲁金独创三千条定理公式,最接近神的男人,英国数学大神哈戴设计了一种用来评价数学天赋的评分表,他给自己打了二十五分, 是谦虚,是真实的分数。他给多年的合作伙伴立刻伍德打了三十分,就连伟大的数学教皇希尔伯特也只得了八十分而已。而在这个表上,却有一个年轻人的分数是完美的一百分。 这个年轻人就是印度千年一遇的数学天才拉马鲁金。拉马鲁金凭什么呢?就凭他读上了三千条无人发现过的定理公式。一般而言,正常数学家、医生能发现一条定理或公式就不错了,但拉马鲁金却跟搞批发似的,一搞就是三千多条。只是有一个小问题,拉马鲁金不知道怎么证明他们。别误会,这不是说拉马鲁金的天赋不 够来证明他们,而是拉玛鲁金使用的都是他自己原创的数学语言和符号,再加上拉玛鲁金太天才,证明时一跳几十步很正常,以至于没有一个数学家能够看懂拉玛鲁金的 证明。你说你一个数学家证明的东西,所有数学家都看不懂,那你还算是个数学家吗?回家种地去吧!眼瞅着拉玛鲁金这个绝世天才即将陨落,英国数学大神哈戴突然出手,力邀拉玛鲁金来到剑桥,两人金风玉露一相逢,简直天作之合。拉玛鲁金不是不会写论文吧?没关系,哈戴的文字水平绝对是第一流的。 拉巴鲁金不是不知道什么叫证明吗?没关系,哈德的严密性世界第一。就这样,拉巴鲁金每天就负责给哈德一个定理和公式,哈德在集整个剑桥之力来进行证明, 珠联璧合啊!哈戴被誉为改变二十世纪英国术业界的男人,那全是因为哈戴发现了拉玛鲁金。有了拉玛鲁金的三千个定理和公式,哈戴想不改变世界都不行。 哈戴、拉玛鲁金等数学传奇给大家推荐一本神书,他们创造了数学。这本书给我带来非常大的震撼,没有比这更加逻辑清晰有趣、好读的数学家科普书了。全书讲了五十名著名数学家的故事。本书不讲无名之辈,里面全是数学 学大神,比如迪卡尔、费马牛顿、莱布里斯、欧拉拉格朗日高斯、伽罗瓦尼曼、希尔伯特、冯洛伊曼等等。锻炼的文风幽默通俗,将枯燥的数学知识写成了普通人都能听懂的故事,趣味横生,热血沸腾!强烈推荐此书!

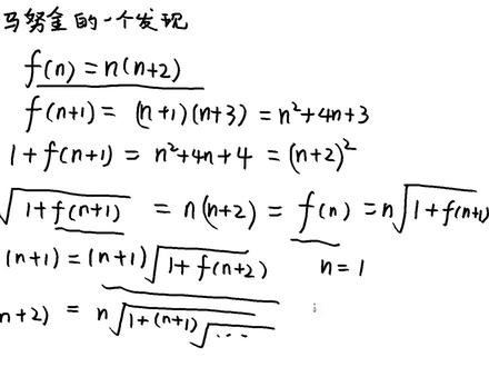
大家好,欢迎来到创意在行动的科普课堂,今天呢,我们来讲拉玛努金的一个发现。首先呢,我们在这里写一个函数, 让它等于这个 f n 等于 n 乘以一个 n 加二,那么 我们就知道这个 f n 加一等于什么?等于一个 n 加上一个一乘以一个什么? n 加一加等于 n 加三,对吗?等于一个 n 的平方加上一个四, n 加三。 好,我们看一看啊,一加上一个 f, n 加一等于什么? 等于 n 的平方加上一个四, n 加三,再加一等于加四,对不对?等于一个 n 加二的什么?等于 n 加二的平方,对吗? 这样我们就有这样一个结论,就是根号下一加上一个 f, n 加一就等于一个什么?等于一个 n 加二,对吧? 我们把这边呢乘上 n, 左边乘上 n, 右边乘上 n, 我们发现跟这个 f n 是一样的,对吗?所以说我们在这里就有这样的关系式。 好,那我们知道了,这个 f n 等于一个 n 倍的这个根号 下一加上一个 fn 加一,那么我们有什么?我们有 fn 加一等于什么?等于 n 加一乘以一个根号下什么? 一加上一个 f n 加二,对吗?我们可以用这个部分去代替上一个部分的 这个 f n 加一。那么这样一直写下去呢?我们有什么?我们有 n 乘一个 n 加上一个二等于一个什么呢?等于一个 n 倍的 根号下什么?一加上一个 n 加一 倍的根号下什么?这样一直写下去,这样的一个规律,对吗? 好,当这个 n 等于一的时候, n 等于一的时候,我们有什么呢? 我们有一乘上一个一加二等于个三等于个什么?等于个根号下,一加上一个二倍根号下,再加上一个这个 一加上一个三倍根号下,这样一个写下去的一个规律,对吗? 大家看懂了吗?大家有没有发现这个结论非常的美妙呢?欣赏数学之美的同时,别忘了点赞关注我!

今天我们分享一位神奇的数学家,为什么说他很神奇呢?因为他用公式证明了神的存在。 有人说啊,他是数学家,为什么能用公式证明神的存在呢?数学家不是无神论者吗?恰恰相反,这位是一个有神论者,而且他比较聪明。为什么聪明呢?因为他的好多公式 都推动了数学物理的一个发展,但是他本人呢,并没有证明,或者说并不能证明这些公式是怎么来的。那有人问他啊,你的灵感来自于哪里?他说,我来自于我的女神拉玛卡尔。学神就疑惑了,拉玛卡尔是谁呢?原难道是他暗恋的对象吗?不是啊, 是印度的一位女神啊。我们来分享一下他随手啊给出的一个公式啊,这个原来的公式呢,是都是有数字的啊, 把一个数抽出来了,实际上这是一个竞赛的试题啊,随便抽出来一个数字,让学生去做,大家给挑战一下,看能不能完成这个有趣的问题。 好,我们看啊,它随手丢失的公式中的 x 到底是什么?我们仔细观察,这个是啥?这个三字根号二,这个三字根号二。哎,这个是三字根号二的平方,这个一跟这个一又很像,我们能不能设它是 a, 他是 b 啊?也就是说三次根号二等于 a, 一等于 b 啊,那么这个圆式就可以写成 a 减 b。 三次根号等于 b, 加上这个是 a 的平方,再减去 a 啊, 除以 x, b 是等于一的啊,这个 b, b 的平方, b 的三十方, b 的四十方都可以写啊,而这个 a 也可以看成 a 乘以 ba 乘以 b 的平方, a 乘以 b 的三次方或者 a 除以 b 啊,我们就添成这样啊, b 的平方 a 乘 b 啊,他的只是不变的。那这个公式是不是 跟那个 a 的三次方加 b 的三次方的一个音是很像啊?是比较像啊,但是呢,这个题目却无法这样配啊,只能说知道这个公式对解这个题目有一点帮助啊。我们把两边同时三次方,他是 a 减 b 等于 a 的平方加 b 的平方减 a, b 的三次方除以 x 三次方。我们一项之后, x 三次方等于 a 的平方 加 b 的平方减 a, b 的三字方除以 a 减 b 啊,怎么把 x 求出来呢?就是把这一边求出来吗?这边好像很繁琐啊,我们适当的去化解一下,上下同时乘以 a 加 b, a 加 b, 那么他就等于啊, a 的平方加 b 的平方减 ab 的平方, a 的三次方加上 b 的三次方除以 a 的平方减 b 的平方,这个 a 是等于三次根号二的, 他的三次方式等于二啊,他加一等于三啊,也就是这个四是等于三倍的。那现在该怎么办呢?只能代入了呀,无法再继续化解呢,然后把它代入进去啊, 最终化减出的结果是,三倍的乘以三倍的三四,根号二的平方减去一,除以 三次根号二的平方减去一啊,也就是等于九啊, x 方等于九,求出 x 等于三次根号九啊,是不是很神奇啊?我写规范一点啊,也就是说我们需要经过 几分钟甚至十几分钟的运算才能得到结果啊,他可能只需要几秒钟就能够把它写出来啊,为什么呢啊?因为有啊,因为他对数字,特别是整数极其敏感,他的一个数学家朋友曾经说过,每个整数 都是他的朋友啊,可见他对数字是有多么的敏感啊。举个例子啊,他的朋友 做了一个出租车,一七二九知道车牌啊,跟他抱怨了一下,说这个车牌一点也不好。而他马上回答的朋友说啊,这个车牌的数字挺好的,他是等于一十二的三次方加一的三次方这两个美妙的数字,也是十的三次方 加九的三再方这两个门面的数字啊。也就是说,他只需要在脑子里思考两三秒钟,就能够 得到跟许多整数相关的公式,那他的这种能力到底是来自于他还是来自于沈就不得知了啊。 ok, 今天关于这个有趣的试者,我们就分享到这里,关注我,让我学习变得更有趣一点。




唯一一个能媲美欧拉的人!数学天才拉玛鲁金四千个公式震惊数学界!作为一个自学成才的数学天才,拉玛鲁金的数学体系如果用一句话来形容的话,那就是野蛮而又霸道。 他从来都不走正统数学的路子,而是自己建立介绍数学体系,解题思路和方法全是前人想都没想过的,可谓开天辟地。就连强荣数学大佬哈带都看不懂拉马鲁金的数学证明,因为太高阶了,简直就是降为打击啊!但偏偏的拉马鲁金全是对的,整的哈带差点怀疑自己有没有资格当数学家。哈带曾经感叹,数学界所有人都是在学 联系数学,而拉玛鲁金则是发现并创造了数学,甚至于数学界公认拉玛鲁金是唯一一个可以比肩数学之称欧拉的人。倘若拉玛鲁金出生在欧拉,那个时 估计就没欧拉什么事了。这并非夸张,因为拉玛鲁金曾经警告,一篇论文就解决了困扰数学界几个世纪的整数分差难题,并因此被提名为英国皇家学会会员,这可是英国数学界最高荣誉。但在拉玛鲁金死后,他还 留下了三个厚厚的笔记本,里面居然有多达四千个公式。很多公式虽然连拉巴鲁金自己都没给出证明,但日后却被证明是正确。就比如一九一六年,拉巴鲁金提出过一个猜想,刁难的数学界五十多年,直到一九七三年,比利时数学家得力列终于成功 给出了证明,还因此获得了数学界最高奖项费尔兹奖。这是证明了拉玛鲁金一个公式就能达到如此成就,可想而知拉玛鲁金那四千个公式是何等的霸天绝地啊! 时间欧拉真的不只是说说而已,关于数学的人物传奇,推荐大家看看数学拉压式这本书,本书不讲无名之辈,里面全是各路数学大神,比如爱尔德斯欧拉费马莱伯尼斯、颇努力等。这本书获奖无数,逻辑完美,精彩绝伦。

当拉玛鲁金进入剑桥之后,哈带就傻眼了,他无法想象一个连基础数学知识都搞不清楚的人是如何得出这些公式的。于是拉玛鲁金又将自己的梦中经历叙述了一遍。 这一番言论极大的冲击了哈袋的世界观,自己是一个无神论者,自然不相信拉玛鲁金所谓的梦境阶梯。不过 当他看到拉玛鲁金整整两大本的数学笔记之后,又不得不相信自己作为当今数学界的代表人物,深知这些公式的伟大之处,他知道其中大多公式自己都无法解释,那这些公式到底是怎么写出的呢?他无法想象,也不敢相信。拉玛鲁金一共记录了三千九百多个公式,这些公式只有结果,却没有证明过程, 其中有很多公式在当时都无法解释,拉玛鲁金自己也无法阐述,他只知道这样是对的,但为什么这样是对的,他却说不清楚。也正因为这样,当时剑桥很多传统的数学家都认为拉玛鲁金是来自印度的骗 拉玛鲁金一面急于将自己这本记录了三千九百多个公式的数学笔记整理发表成为论文,而一面又因为缺乏证明过程常常被人质疑。鉴于这种尴尬的状况,无奈之下,哈戴让拉玛鲁金重新学习数学的基础知识,以证明过程。最终在五年里,哈戴与拉玛鲁金共同发表了二十八篇重要的论文, 所以从这里也能看出拉玛鲁金的解题方法确实就依靠直觉,他在解决一个难题时,根本就没有考虑过程,而是直接给出一个结果。不过哈戴却认为拉玛鲁金并不是没有考虑过程,而是因为他有一种说不清的独特的解题思路和超越常人的心算能力。 在遇到难题时,他在脑海中就已经描绘出了解题思路,不过他并没有将其写下,只是记下了最终的方法。到了一九一四年,恰逢第一次世界大战导致食物短缺,拉玛瑙金又是素食主义者,因为长期的营养不良与英国潮汕 的环境,使他患上了严重的肺结核疾病。不过人生本就是福祸相依,凭借着出色的研究成果,在一九一八年初,阿玛鲁金成为了第一位来自于印度的英国皇家学会会员,同年又成为了剑桥大学三一学院的会员。 一九一九年,第一次世界大战结束,身患重病的拉玛鲁金被迫返回家乡。到了次年四月二十六日,拉玛鲁金病逝于马德拉斯,享年仅三十二岁。 这一年,整个英国数学界初期的成绩,哈戴在剑桥大学的追悼会上泣不成声,在他眼中的拉玛鲁金是一位名副其实的怪才,在这几年的合作中,自己一个无神论者,从 多次被拉玛鲁金的数学直觉冲击三观。也是在这个时候,哈达说下了那句我们在开头提到的话,我们在学习数学,而拉玛鲁金却发现并创造了数学。有很多人说拉玛鲁金的公式并不完全正确,我们大起来, 他留下的公式不仅影响着当时的数学界,也影响着现在以及未来的数学界。在一九七三年时,比利时的数学家德利尼 因证明了拉玛鲁金在一九一六年提出的一个猜想,从而获得了菲尔兹奖。菲尔兹奖是目前世界最高的数学奖项,这个猜想就是三千九百多个公式中的其中一个。除此之外,还有很多公式被应用在了现代的量子物理、统计力学、计算机科学、密码技术和空间技术等不同的学科之中。 他人生之中的最后一项成果叫做模仿塞他函数也是只有公式结果,没有推算过程,甚至连他本人也不知道这项成果的意义。 目前这个 ct 函数有力的推动了用孤立波理论来研究癌细胞恶化和扩散以及海啸的运动,而且还成为了量子物理学超前理论中的重要公式之一。这个公式可以用来解释黑洞理论,但在当时甚至还没有人提出 黑洞这个概念。值得一提的是,在拉马桶金留下的公式之中,还有很多并未得到证明。所以所谓的天赋到底是什么? 用拉玛瑙金的话来说,就神的启示。不过这个说法确实比较魔幻,按照我们旁观者的视角来看,这是一种直觉,一种无法言说的直觉。我想用直觉来解释天赋,可能是我们目前能够找到的最合适的说法了。不知道你的身上有没有这种无法言说的直觉呢? u 哈, i love you!

哈喽,大家好,欢迎来到奇妙查尔斯。先看两段视频, 一加二、加三,加四加五,这样一直加到无穷大等于多少啊?起了个大怪,这个答案居然是负的十二分之一,我的天呐,无限个专属相加,哎,居然 来我问问你啊,所有算数的总和是多少?老师转过来,中国跳着舞台,数学家拉马女金的求和法,得到的真正结果是负的十二分之一,你信不信?负十二分之一,负十二分之一,你敢信吗? 这些打着清华教授还有天才拉玛努金的旗号的人想干什么呢?我们都知道那个答案是无穷的,那他们宣扬的 二分之一到底是怎么一回事呢?看一看拉马路金是怎么算出来的? 我们要求出这样一个自然狩猎,一加二、加三、加四、加五加六,一直加下去,那么我们先设定它为 s 一, 为了退出他的结果,我们再设定一个 s 二,那等于一减一,一减二加三,减四,加五,减六加七,也就是偶数上都是负号,然后技术上都是正号, 再写一次 s 二,那么这个二这次写的时候呢,要往他把他往后错一位写,也就把前面第一位给空出来。但同样的还是一减二加三,减四,加五减六,那么在这样写出来以后呢,我们对他进行错位相加,就会得到这样一个结果,那么两倍的 s 二 还剩一,那么负二正一还剩负一,正三负二还剩正一,负四,正三还剩负一,就变成了一减一加一减一加一减一加一减一,也这样无穷的一个数列。为了得到这个结果呢,我们还要再写一次两倍的 s 二, 同样也是错位来写,我们再对他进行错位相加,就变成了这样一个数值,我们看到了只剩下了一个一,那么剩下的这些项呢,上下都被 抵消掉了,变成了零,所以四倍的 s 二就等于一,那么我们就得到了 s 二等于四分之一这样一个结果。把这一个结果再回到我们要求要求和的这个自然数列之和, 也就是一加二加三加四加五加六的合。那么这个时候呢,我们再写一次 s 二,这是我们刚才说的那个一减二加三减四,那么把他们两者进行相减,就会得到这样一个结果, 那么这两个相减一减一变成了零二减负二变成了正四,三减三变成零四减负四变成了正八,五减五没有了,那么六变成正六, 负六变成了正的十二,也就是变成了四加八加十,二加一直加下去这样一个结果,那么这个结果呢,其实就等于四倍的 一加二加三加四加五加六加七,那么看一看,这个一加二加三加四的这个结果呢,就等于上面这个 s 一,所以 s 一减 s 二就 等于四倍的 s 一,于是我们把 s 二这样等于四分之一这样一个结果给带进来,就会变成了 s 二等于负三倍的 s 一,也就是等于四分之一,那么就得到了结果, s 一等于负十二分之一。 这原本是一个数学的历史旧案,是从欧拉开始,数学家们当年玩的一个叛逆游戏, 经过平台上某一个知识类主播很有想象力的介绍,又加上有些人把他从前沿物理联系上以后呢,某些营销号就像突然找到了直昏大门的钥匙,开始亢奋的向人间宣布他们伟大的发现, 那我们下面就用这把钥匙来证明一下,一等于二等于三。首先我们来给大家站 证明,一加一加一加一加一加一等于这个结果是多少,我们把它设定为 s 一, 然后为了得到他的结果,我们要引进一个 s 二,这个 s 二就是刚才我们说的那个一加二加三加四加五加六,一直加下去这个自然数的无情极数之和,把它设定为 s 二, 现在我们把它两者进行相加,会得到一个 s 一加 s 二等于一个 s 三,那么这个 s 三是多少呢? 一加一等于二,一加二等于三,一加三等于四,一加四等于五,又会变成二加三加四加五加六加七这样一个 无情极数,那么 s 三,我们把这个 s 二再回他写在底下,就会发现一个问题,是一个什么问题呢?这个 s 二也就是这个 s 二他 他的后半部分,这一部分实际上就是我们新得到的这个 s 三,于是我们就得到了一个等式,这个等式是 s 二等于一加 s 三,也就是 s 三加一, s 二等于一加 s 三。那么同时呢,我们把上边这个稍作变换,把它挪到底下来, s 二还等于 s 三减 s 一,那么我们会发现 这是完全相同的,可以完全抵消掉,就变成了一个负的 s 一等于一,也就是 s 一等于负一,那么我们知道 s 一就是一加一加一加一加一直加下去,也就是他等于负一,是不是一个结论很奇怪啊? 那么有了这个基础,我们就可以来证明哪个更奇怪的一等于二,二等于三的结论了。买 s 一等 等于一加一加一加一,我们刚才已经证明了,他等于负一,那么我们再次把他相加,变成一个两倍的 s 一,那么这个两倍的 s 一呢?就会变成二加二加二加二,一直加下去。 现在我们再把自然竖列的那个一加二加三加四加五加六的这个自然数的竖列的,把它得挪回来,它会变成一个 两倍的 s 一加 s 二这个结果,我们把它标到 s 四,它会等于多少呢?变成三变成四,变成五,变成六一十三加四加五加六加七加八这样一个结果,那么 出现这样一结果,我们再把 s 二写在底下,就会发现三加四加五加六加七,八加八的这个结果也在 s 里边,也就是这一块,实际上就是 s 四,于是我们就得到了一个 s 二等于 s 四加三,一加二等于三, 那么这个是 s 四,所以 s 二就等于 s 四加三,同样我们把这个带给他列到底下,就会发现 s 二还疼,同时还等于 s 四减两倍的 s 一,也就是 我们把这个两倍的 s 一, s 一等于负一代进来,就会变成 s 四加二,于是你看 s 二等于 s 四加三, s 二还等于 s 四加二,就会得到一个结果,二等于三, 两边顿减去一,就得到了一等于二,是不是很有意思?那这个结果会成立吗? 我们都知道,如果一等于二等于三这个结果成立的话,那么我们的数学整个大厦就要崩溃了, 那这个证明过程有什么问题吗?看起来是没有的,但如果你不想整个数学大傻崩溃,不想承认二就等于三,那么其中必然是哪出了问题。 如果问题没有出在二或者三上,那要么就是你设定的那个 s 一啊, s 二啊出了问题,要么甚至就是其中的等号出了问题。 这里的问题其实出在无穷大上,无穷大是有多大呢?无穷大和无穷大哪一个更大?无穷大加一和无穷大,哪一个更大?无穷大的两倍呢?既然都叫无穷大,那么他们大小有区别吗?这些问题我们没法回答, 实际上数学家也一样没法回答。对无穷几束的求和方式,其实至今在整个数学界也没有完善的方法,求和的方法有很多,拉满努力的方法只是其中之一。 比如借用刚才我们得出一等于二等于三的一个方法,我们还可以算出全体自然数之和,也就是一加二加三加四,一加下去,他可以等于负一。 利用前面的结果,我们可以把这搞得更加荒诞一些。例如我们把这一个狩猎写的更稀一些, 那么一加二加三加四加五,就可以写成一加一加二,一加一加一加一,其中的二可以分解成两个一进行相加三分解成三个一,二四分解成四个一, 所以我们把括号都可以给去掉,就变成了一加一加一加一加一,一直加下去,那么这个数等于多少呢?等于 s 一,我们前面已经算过了, s 一等于一加一加一加一加一等于负一,这个数就等于负一, 那么努力的算法中,他们得出了一个负十二分之一,而我们也可以用这种方法得出一个负一的结果。 那我如果说就此我就用数学证明了神的存在,那你说他是证明了神的存在,还是证明了神棍存在呢?


一九一三年,华罗根的老师,著名英国数学家哈戴收到了一封陌生人寄来的信。信的开头说,先生,请允许我介绍一下我自己。我是印度金娜的一个码头办公室的职员, 我的年薪只有二十英镑。我没能接受完整的大学课程,但我对发散技术做了深入的研究。如果您觉得这些内容是有价值的话,请帮我把它发表出去。 当时的数学界,哈戴的地位相当高,所以他经常会收到类似的声称自己解决了数学难题的来信。哈戴看到这封来自印度的姓氏,以为这又是一个来自民科的胡言乱语, 但他耐住性子,稍微深入的研究了一下后,发现性中了一些内容,竟然和自己一些还未发表的研究内容不谋而合。 男性的实验性质中共写有一百二十条数学公式,但全部都没有证明过程,其中很多公式哈戴都是第一次见到,他也无法判断是否正确。于是哈戴咨询了另一个大数学家,他的合作伙伴李特尔伍德。 两个人研究很久以后,认定这封信的作者拉玛鲁金拥有顶级的数学才能。于是他再回信给拉玛鲁金,邀请他前往英国的剑桥大学一起搞研究。 在哈戴见到拉玛鲁静后,他发现眼前这个年轻人完全没有接受过正统的数学训练,他的思考方式和一般的数学家完全不同。 拉玛鲁金岛中几乎没有证明这一概念。比如哈代问拉玛鲁金,你的这些公式是怎么得出来的?拉玛鲁金说是纳玛卡尔女神在梦中 给了自己启示,早上醒来后就写出了公示。虽然这在哈袋看来十分不可思议,但他并没有要求拉玛鲁精也按照传统数学家的方式工作。 因为在数学上,辣妈鲁津的这种洞察力和一般数学家的推导证明能力是截然不同的两种能力。哈戴怕辣妈鲁津在传统的研究方式下会失去这种独有的无法解释的灵感来源。从此开始,两个人进入了一种合作关系。

历史上有很多人都在试图证明神的存在,牛顿试图在物理上证明神的存在,但是他没有成功。而跟牛顿同时代的欧拉也在数学上给出了神存在的证据, 这次呢,我们没有办法判断他有没有成功啊,但从目前的这个情况来看,哎,他至少没有失败。这欧拉呢,他最早是学神学的,他爸呢是在巴塞尔大学学的神学,后来就成为了一名牧师, 所以欧拉就是在这样一个神学环境,这样一个牧师的家庭当中长大的。等到欧拉上大学的时候呢,他也很听他爸的话,就去报了这个神学专业。 要不是当年欧洲的数学小王子博努力在每周六下午的兴趣班上面发现了欧拉的天赋哎,并且向欧拉的父亲求情,让欧拉去学数学。那这个世界上呢,就不只是要少了一位数学家这么简单的事情了,估计人 内的科技都得倒退好多年。虽然欧拉学了数学,但是他的内心呢,还是坚定的相信这个上帝是存在的。不过作为一个拥有科学思维的数学家,他这个时候呢,需要搞明白一个问题,这个问题就是,既然上帝是存在的,那为什么我们看不见上帝呢? 这个问题对于坚信上帝存在的欧拉来说,只有一种可能的解释,就是我们只能看见这个世界的一面,看不见另一面。那关于这点,有没有什么方法可以证明呢?然后欧拉在看见这串数字的时候就想到了,嘿,这不就是我们看不见的另一面吗? 这个一加二加三加四,一直加到无穷的话,正常人都会觉得这个结果是无限大,无穷大,但是欧拉却说他等于负十二分之一,这个呢可能就是所谓的我们一般人看不见的世界的另一面,那这个结果到底对不对呢?反正当时的欧拉 他呢是给出了特别严谨的证明啊,但是相信高数没学好的朋友是看不懂他的那个证明的,于是呢,上天就派了另外一位天才数学家来给出了一个小学生都能看懂的证明过程。 这个数学家就是我们之前讲过的拉马努金,我们知道拉马努金有很多思路和成果,他说都是神告诉他的,那关于拉马努金神奇的故事呢?大家可以看我之前的那个讲拉马努金的视频。那这里呢,我们就来看看拉马努金是如何通过小学生都会的这种加减乘除来证明这个正常人看起来绝对不可能对的等式的。 首先呢,我们把一加二加三加四加五加六一直加下去,他的和呢写成 s 一,而这时候呢,我们需要引入一个 s 二,这个 s 二呢就等于一减二加三减四加五减六分,就这样运算下去,接下来我们用 s 一减 s 二,就会得到这个一和一减掉就是零,二减 负二呢就是四,三和三减掉是零,然后四减负四呢就是八,所以最后的结果呢,就是四加八加十,二加十,六加二十,就这样加下去,然后我们给他提出来一个四,就会发现他变成了这样,然后括号里呢其实就是 s e, 所以这里我们就可以得到 s 一等于负的三分之 s 二,所以这时候我们就要求出 s 二等于多少,就可以知道 s 一等于多少了, 所以我们先把 s 二写出来,然后再给他加一个 s 二,只不过这次呢,是错位相加哎,就像这样,错开一位,然后相加,那错位相加的好处呢,就是他加下来第一位是一,然后第二位就变成了负一,然后又是一又是负一,然后又是一又是负一, 所以等号左边是两个 s 二,那右边呢,就变成了一减一加一减一加一,就这样循环下去,然后我们这里再做 做一次错位相加,就再加一个二倍的 s 二,这时候等号左边变成了四倍的 s 二,而等号右边呢,负一和一就抵消掉,一和负一也抵消掉,最后就剩下一个一。所以四 s 二啊等于一, s 二呢,就等于四分之一。那之前我们就知道 s 一等于负的三分之 s 二,然后 s 二等于四分之一,所以 s 一呢,就等于负的是二分之一。 看到这呢,相信有的朋友就会质疑这个结果的正确性啊,或者质疑这个方法是不是有问题,后来人们又用黎曼函数得出的结果呢,还是负十二分之一。 这时候呢,一众学者就开始犯愁啊,因为这个在数学上看起来无懈可击的正确结果,在现实中好像就完全不可能发生啊,反正就是咋看咋不正确。那这时候呢,有的数学家为了弄清楚这到底是怎么回事,他们就一步一步把黎曼函数当中的 这个解析是图像化,最后呢就得出来这样一个图像,这个图像的意思呢,就是这组数的和刚开始的时候呢,他是沿 c 一这条路径还是变大的,然后变到非常大的时候呢,就来了个急转弯,就是 c 二这段路径, 然后此后呢,就开始变小了,就是 c 三这段路径。当时我看了这个图的第一反应,就感觉他像极了这个易经乾卦里面所说的这个抗龙幽会啊。我们知道乾卦是由六个羊窑组成,就特别羊的这种, 这抗龙有悔的意思呢,就是说龙向上飞的太高,哎,便会有要后悔的事情要发生,这就是我们中华文化当中物极必反的思想的这个起源。乌拉当年还说,一的平方加二的平方,加三的平方,加四的平方加四的平方一直加下去,哎,他是等于零的,然后一的三次方加二的三次方,加三的三次方,然后一直这样加下去, 他是等于一百二十分之一的,而且这些呢,到后面都被证明是对的。不过即便他被证明是对的,哎,很多人包括很多数学家还是不能理解这样一个结果。而这时候呢,爱因斯坦的一句话可能就点破了其中的奥秘。

千年一遇的数学天才辣妈鲁金到底有多牛?一直以来,辣妈鲁金都被认为是数学界的神人,连百年一遇都不足以形容他的天赋,至少在千年万年起, 人说他是与神沟通,因为太过逆天,所以天妒因财,因年早逝。那么拉玛鲁金到底有多牛?一人原创三千九百个地理公式,够不够牛?或许这个数据太抽象,无法完美体现拉玛鲁金在数学上的绝世天赋。那么就随便说个例子吧, 也就是大明令的的士数。那是某一年的某一天,英国数学大神哈戴去看望拉玛鲁金。两个天才数学家聊的东西自然不像我们普通人一样没有技术含量,这俩货聊的是数学,更准确的说是数字。他来说自己今天乘坐的是出租车,车牌号是一七二九,这个数字没什么意思。乍看之下,这个数字的确没什么意思, 代表任何意义,就是普普通通的一个数字而已。然而拉瓦鲁金却是毫不犹豫的说,这个数字多有趣啊,它可以用两个立方之和来表达,而且在所有具备两种表 方式的数中,一七二九是最小的,即一七二九等于一的三次方加上十二的三次方,等于九的三次方加上十的三次方这类数。后来因为这段故事被称为的的士数。关于的士数,别说是普通人了,就算是哈利这样顶级的数学家都看不出来这个规律, 没办法瞬间算出如此大的立方数。然而拉玛鲁金却是掷地有声,毫不犹豫。这就是拉玛鲁金数学天赋的恐怖之处,他根本不需要计算,只需要看一眼就能给出答案。也正因如此,他才当得起千年一遇的美誉,他才能够原创三千六百条定理公式。