粉丝114.6万获赞579.8万



私下第二单元习作我的奇思妙想这是一篇想象性作文,让我们写一写自己想发明的东西。你可以写的东西有很多,比如多功能课桌、神奇的书包、会飞的房子、水上行走的鞋等等,这些啊,都可以。 那小鱼老师呢,就以神奇的书包为例,来教你一种高空思路,让老师眼前一亮。首先呢是开头部分,我们可以运用场景导入这样一个小技巧来揭释整篇文章的主题。可以这样来写, 每天早晨上学前,我都要和书包大战三百回合。课本练习文本具盒、水壶一样样塞进去,书包鼓得像个大皮球,背在身上压得我直不起腰来。 于是发明一只神奇书包的想法又在我的心底破土而出了。那中间部分呢,我们可以从两个层面来进行描写,一就是写一写它的样子,另外一个呢,就是写一写它的功能。 样子呢,我们可以抓住这个书包最主要的特征来进行描写,比如它的大小、颜色设计方面,我们可以这样进行描写。 我的神奇书包看起来和普通书包差不多大小,但它的秘密可多了,书包是蓝色的,像天空一样的颜色,正面有三个不同功能的彩色按钮,分别是红、黄、绿三种颜色。 最特别的是,书包两侧各有一个小小的银色翅膀图案,别以为这只是装饰,他们可是会动的哦。 那接下来呢,我们就可以写一写他的功能了,比如说他可以变轻,变成雨伞,变成滑板车。好,我们可以这样来写, 这个书包最神奇的功能啊,就是变轻,只要按下红色按钮,不管里面装了多少书,书包立刻变得像气球一样轻。有一次,我把全班同学的课本都装了进去,按下按钮,轻轻一提就起来了。同学们看到目瞪口呆, 黄色按钮更有趣。下雨天,我刚走出校门,豆大的雨点就落了下来。我按下黄色按钮,书包两侧的小翅膀刷的展开,变成一把大大的透明雨伞,把我整个人都罩在下面,雨水打在伞上,叮叮咚咚的,像在演奏音乐。 绿色按钮啊,是我的最爱。每当我写完作业按下它,书包就会伸出两个小轮子和一个把手,变成了一辆小滑板车。我一只脚踩在上面,另一只脚一蹬就能飞快的滑回家,路上的小朋友看见了都羡慕的不得了了。 好,最后呢,我们就可以来写结尾了,我们可以运用自然收束这样一个小技巧来结束全书可以这样写, 虽然这只是我的想象,但我相信我只要好好学习,我一定能发明出这样的书包。到那时,每个小朋友都能轻轻松松上学去,快快乐乐回家来。

四下第二单元习作我的奇思妙想这是一篇想象性作文,让我们写一写自己要发明的东西。你可以写的有很多,比如多功能课桌、会变大变小的书包、智能机器人、会飞的房子、水上行走的鞋等等,这些都可以。 那文老师呢,就以多功能雨伞为例,来教你一种高分思路,让老师眼前一亮。首先呢是开头部分,我们可以运用场景导入这样一个小技巧来解释整篇文章的主题。可以这样写, 豆大的雨点哗哗杂落,狂风咆哮着席卷而来,行人艰难的撑着雨伞,却依旧被斜飞的雨水浇了个透心凉。目睹这一幕,发明一把神奇多功能雨伞的想法又在我的心底破土而出。 那中间部分呢,我们可以从两个层面来进行描写,一个就是写一写它的样子,另外一个呢,就是写一写它的功能。样子呢,我们可以抓住这把伞的最主要的特征来进行描写,比如伞面、伞柄和伞上的按钮。 这把雨伞的外观很特别,伞面是用一种轻薄却坚韧的纳米材料制成,伞柄是流线型设计,握着很舒服,上面有一排精致的彩色按钮,每一个按钮都有独特的功能。 那接下来呢,我们就可以写写它的功能了,比如说能够变大变小,能防风,能够有精准的导航功能。好,我们可以这样写, 这把雨伞的功能十分强大,按下红色按钮,它能变大变小,变大时能轻松容纳好几个人,再也不用担心和小伙伴挤不下。变小时能像一部手机一样轻松装进口袋,方便携带。 遇上大风天,按一下橙色按钮,于是按就会启动防风模式。山谷瞬间变得坚硬,狂风再也吹不走了。如果在放学路上迷路了,按下紫色按钮,自动开启精准导航功能,它能规划出回家的最佳路线。 好,最后呢,我们就可以写结尾了,来,可以运用自然输出这样一个小技巧来输出。全书可以这样来写,我相信这把神奇的多功能雨伞投入使用后,一定能为人们的生活带来更多的便利。

我的奇思妙想怎么写?两分钟啊,教会你学会了以后呢,所有的想象力作文你都能轻松写出来。 首先,我们要先审题,我的奇思妙想就是让你写一写你想发明什么东西,他是什么样子的,有什么样的功能。那我们可以想一下,你想发明什么?比如一只神奇的笔,一个神奇的书包,或者是一座神奇的房子。想好你要发明什么,我们的写作思路呢就有了。 有了思路,我们就来构思一下这篇文章的结构,也就是这篇文章应该分几段,每段应该写什么?那开头部分呢?我们可以开篇点题,写清楚你要发明的是什么。比如你看我这么写,每一个奇思妙想都是一颗藏在脑海里的种子,一旦发芽长大,也许就会变成一个了不起的发明。 而我脑海中最想发明的就是一座会飞的木屋。注意,这是个万能开头,不管你要发明什么东西,把名字改一下就可以了。 写完了开头中间部分,我们可以写两个方面,先用一段来写一写你发明的这个东西是什么样子。然后呢,再用两三段写一写他有哪些神奇的功能。功能呢?可以写两三个,也可以写三四个,根据你的想象来发挥就可以了。比如你看我这么写, 这座木屋的样子很特别,他的屋顶是红色的,像一顶可爱的小帽子,两侧装着一对大大的鸡翼,就像鸟儿的翅膀一样,能让木屋飞上蓝天,甚至可以在空中一直飞翔。 最神奇的是,木屋下面还有四个坚固的轮子,可以在陆地上自由移动。你看,这就是用一段话,按照从上到下的顺序呢,写出了这个木屋的外形。接下来呢,我们就开始写它的功能。你看,我这么写,这座木屋的功能可多了,它最大的本领就是能远程飞行,只 要我按下红色按钮,机翼就会展开,动力系统飞快转动,木屋就能腾空而起,带我去任何想去的地方。 我可以去雪山看风景,到沙漠去探险,在云端看日出。而且呢,木屋的墙壁可以变成透明的 风景好的时候,我可以把所有的好风光尽收眼底。你看,这就是写了木屋的第一个功能,可以飞去任何地方。我们可以按照这个逻辑呢,继续写一到两个功能,你看,我这么写,木屋还配有智能操控系统,可以代替人类做任何事情。 地板上有灰尘,他会指挥机器人自动打扫干净。我想吃什么,跟木屋的系统说一声,他就能马上做出来,味道好的不得了。 写到这,我们就把第二个功能写完了,已经写了三百多个字了,记住,只要你感觉字数不够,就可以补充一个功能。你看,我继续往下写,这座木屋还可以带我去海底世界,他可以变成潜水艇,沉入海中, 让我和小鱼小虾一起玩耍。透过窗户,我还能看到五颜六色的珊瑚,真是太美了。好到这呢,我们一共写了木屋的三个功能,可以飞行,有全智能系统,可以潜入大海。最后我们来接个吻。你看,我这么写, 这座会飞的木屋就像一颗长着翅膀的星星,带我去看遍美好的世界。等它真的飞起来那一天,我要在心中种下一颗奇思妙想的种子, 你看这个结尾呢?既做到了首尾呼应,又再次回扣了奇思妙想这个主题,是不是很精彩啊?学会了别忘点关注,我是怀老师,带大家吃透课本,学好语文,想要学会更多好方法,记得来我直播间。

四下第二单元我的奇思妙想怎么写?注意,从这篇作文开始,让孩子写科技想象文了!他直接对应小升初热门作文题,插上科学翅膀飞啊!你说重要不重要? 可很多孩子对于想象文会想不会写咋办呢?别担心,今天史老师教孩子点描表黄金三字写一写孩子们最想要写的作业导航笔呀!第一字,点点迷你奇思妙想的来源这里呢,你可用提问法 激发读者兴趣哈!时少时依然来编原创写作业时,我总像只慢悠悠的蜗牛,一会对着作业本发呆,一会被窗外的鸟叫勾走思绪。妈妈常无奈的说,我得了作业多颜症啊!看着汽车导航仪,总能精准的规划最快路线。 我突发奇想,要是能发明一只作业导航笔,帮我打败拖延这个小怪兽,那该多好呀!第二字,喵 两个描按书上要求,一描它的样子我的作业导航笔啊,长得格外可爱,它比普通钢笔纤细几分,笔身是清澈的浅蓝色, 摸起来光滑细腻,仿佛我这一块温润的玉石。笔帽上嵌着一个小小的圆形屏幕, 亮晶晶的,像是夜空中最亮的星。握在手里啊,轻飘飘的,写字时顺滑流畅,仿佛笔尖都在纸上跳着欢快的舞蹈呢!二描功能这也是书上要求的,这支笔的功能可强大了, 简直是拖延症的天敌啊!只要你把所有的作业放在他面前,他就会像一位贴心的导航员,立刻帮你规划出最优作业路线。小主人先攻克三十分钟数学难关,再挑战二十分钟 语文乐园,完成后就能解锁十分钟休息脚力了。如果我写的慢吞吞的,他就会调皮的小声嘀咕,前方学习,道路拥堵,请加速前进哦! 要是我写的又快又好,小屏幕上就会绽放出五彩缤纷的烟花,像解释里的盛典,还会响起悦耳的音乐,仿佛在为我喝彩。遇到绞尽脑汁也想不通的难题时, 他更会化身耐心的老师,用清晰的讲解为我拨开迷雾。有了它,写作业不再是枯燥的任务,而是充满乐趣的游戏,轻松又愉快。最后第三次表 表达你对未来有何展望?我一定会努力攒足知识的力量,亲手将这只作业导航笔变为现实,让它成为每个孩子学习路上的灯塔,照亮高效写作业的方向,也照亮我们闪耀着快乐的童年。好了,你看,这样用好黄金三字哈, 一点点明你奇思妙想的来源。二描,两个描分别描写它的外形和功能。三表表达你对未来的展望,这样思路清晰生动,具体高分作文就是你更多写好作文的方法。关注石少师,欢迎和我系统学!

四下的第二单元作文,我的奇思妙想可以说是整个四年级最重要的一篇作文了,因为它特别符合现在的社会热门,像科技的发展啊, ai 的 崛起啊等等, 像现在的小考大考都会让你写一些想象类的啊,核心呢就是让你去畅想未来。那我来给你们详细的讲一下这篇文章得高分的几个关键点。 第一个,你在写作之前一定要确定你要发明的东西,这个东西呢尽量的要有意义,要科学,而且呢是现在没有的产品,它能够满足大众未来社会的一个需求,那你这篇文章的利益就拔高了,你是在为人类做贡献对不对? 如果你想不出自己要发明什么,那也可以按照我这样的思路,你在现实中遇到了什么困难 或者什么需求,你想一想啊,比如说你在生活中遇到什么困难啊,在学习上,你写作业总是出现错别字,那我就想发明一个错别字的识别钢笔。比如说我希望社会上的盲人能够看清楚周围的世界,那我就想发明一个东西呢, 是视觉的辅助器。有些同学他会写,我要发明偷懒或者作弊的神器啊,借这个发明呢来逃避写作业,这个是不能写的。那确定完你要发明的东西以后呢?第二步就是个重点了,要写你发明这个东西的样子 是什么,比如你可以根据它的功能来设进它的样子,那我要发明一个减蛋机,那这个机呢,他是要潜入这个机群里面去减蛋,而不被识破。 那这个鸡它的一个样子呢,就要长成和普通的鸡一个形状啊,这样的才会顺利的捡到蛋,不会被其他鸡识破。比如说你还可以写智能书包啊,课桌呀,你 都可以从多个角度来设计它的样子了,比如说颜色呀,大小啊,形状啊,材质啊,还有一些特殊的装置等等啊。 第三个呢,是决定你得不得高分的关键,要介绍它的功能,写出它的奇妙性。注意,介绍功能的时候呢,你可以在具体的使用场景中去介绍这个发明的物品, 它能够完成什么样的任务,或者呢提供我们什么样的服务,以及呢具体要怎么操作它,最后呢,使用后它有什么样的效果?举个例子,我想发明一个教室的这个五 d 的 投影技术装置。好,那我就把它放在具体的使用场景下啊, 当老师呢准备为我们讲解观潮这篇课文的时候,这是不是他的一个使用场景?老师呢,只需要按下黑板上的红色的按钮,那教室的五 d 投影技术装置呢,就会瞬间的启动了,那这就是他的一个操作方法。注意,在写操作方法的时候呢, 你可以用到这些动词啊,比如说像打开,按下,旋转,语音输入等等。黑像,我们的黑板上呢,就立刻啊而出现了一些立体的影像,伴随着浓浓的响声,一堵两丈多高的水墙翻滚而来, 犹如千万匹白色战马齐头并进,那这是不是带给人了一种神奇的体验,帮助老师解决了教课文的问题, 也让学生呢更深刻的去理解了知识啊,那这就是它的使用效果,这样呢,是不是比你干巴巴的写它有什么样的功能和效果?要直观的多。

四年级第二单元写作我的奇思妙想今天我以未来的书包为例,一次性把写作思路分析透彻,老师都夸有创意。第一步,咱们先找痛点,把熟悉的物品的不足说具体。那咱们每天用的书包是不是有好多小烦恼呀?比如说书装多了,肩膀勒的特别疼,放学回家胳膊都酸。 作业本、课本、文具混合在一起,上课铃响了还没找到语文书,下雨天就更糟了,书包淋的湿漉漉的,作业本都皱了。这些真实的小麻烦就是我们奇思妙想的灵感。第二,再加功能,我们给书包开一个超能力。 针对这些问题,我给未来的书包设计了三个超实用的新功能。第一个功能就是悬浮减重,再也不用扛着砖头上学了。第二呢,是智能分类,书本人具自动归位。第三就是纳米防雨,雨天书包和里面的东西都是干干爽爽的。 第三步,咱们要说清楚操作,让功能看得见摸得着。这些功能的操作非常简单,我们只要给他按上不同颜色的按键就可以了。 那书包的右侧呢,会有三个彩色的按钮,按蓝色的悬浮键,书包底部就会弹出隐形的悬浮板来,重量瞬间就变成一片羽毛,走路都带风。 按黄色的分类键,书包里会自动分出语文区、数学区,还有文具格。你把东西放进去以后,他就像有眼睛一样,自动把物品送进对应的格子里。按紫色的防雨键,书包表面就会立刻裹上一层看不见的纳米膜, 雨水落在上面直接滑走,比雨伞还管用呢。下面我们出整体范文,我的奇思妙想每天背着沉甸甸的书包上学,我总在想,要是能发明一个神奇的未来的书包,那该多好呀! 我的未来的书包和普通书包看起来差不多,但藏着好多厉害的秘密。它最神奇的地方就是悬浮减重功能,书包右侧它的蓝色按钮就是它的开关,只要轻轻一按,书包底部就会弹出一块隐形的悬浮板。原本压得我肩膀疼的书包,瞬间变得像羽毛一样轻, 我背着它走路,感觉脚步都轻快了许多,再也不用怕肩膀被勒出红印子了。那书包还有智能分类功能, 按下黄色的按钮,里面的隔层就会自动认东西。我把语文书、数学书、作业本一股脑放进书包里,他会悄悄把语文书放进语文区,数学书放进数学区,作业本叠的整整齐齐放进作业格,连铅笔、橡皮都能乖乖的戴在自己的文具格里。 上课前,我再也不用慌慌张张翻书包,伸手就能摸到想要的东西,可方便了。那最贴心的呢,是它的纳米防雨功能。下雨天上学,我按下紫色的按钮,书包表面就会出现一层看不见的纳米 膜,雨水落在上面根本不会湿了,书包只会像小珠子一样躲下来。这样一来,我的课本、作业本再也不用担心被雨弄湿了,我也不用一边撑伞一边保护着书包啦! 这就是我的奇思妙想,未来的书包。我真的希望快点长大,把这个神奇的书包发明出来,让每个同学都能背着他轻松去上学。宝妈们 范围里把找痛点、加功能、说操作写的明明白白,照着这个思路写,你的奇思妙想也能得高分。觉得有用的话点赞收藏,下次咱们教你写更多的神奇发明。

四年级下册第二单元习作我的奇思妙想这是一篇想象力作文,很多同学写出来的作文平平无奇,今天老师带你两分钟搞定,写出脑洞大开的满分作文,放文放在了最后。这单元说白了就是让你当小小发明家,可以写的可多了。 比如学习类,自动纠错的神奇笔,能变大变小的书包。生活类,会飞的房子,能自动做饭的厨房。交通类,海陆空三用的汽车,会潜水的滑板。 今天咱们就以神奇的多功能笔为例,一步步教你写满分作文。下笔前,我们先理性思路。这篇作文可以分为四个部分,第一部分可以写我想发明什么。 第二部分写他长什么样,写他的外形、颜色、部件,让他看得见。第三部分,他有什么样的功能呢? 比如说自动纠错、生字教学、护眼照明。第四部分写我的愿望,表达出你对他的期待。接下来咱们具体操作一下。第一部分,我们可以用排比式开头,一下子就抓住眼球。我常常幻想,要是有一支能自动纠错的笔就好了。 我常常盼望,要是有一只能教我写字的笔就好了。我常常期待,要是有一只能照亮书本的笔就好了。今天就要把这只神奇的多功能笔发明出来。第二部分,抓细节,用比喻让它活灵活现。比如 这只多功能笔和我们平时用的钢笔差不多长,整体采用轻盈的环保材料制成,拿在手里轻巧又方便。笔身是清爽的浅蓝色,摸起来光滑又舒服。 笔杆上有三个小巧玲珑的彩色按钮,分别是红色、黄色、蓝色,像三颗亮晶晶的宝石镶嵌在上面,看起来既精致又可爱。第三部分, 写功能是得分的关键,要写清楚做什么,怎么用。比如这支笔,最神奇的就是它强大的功能了,当你不小心写错字时,只要轻轻按下红色按钮,笔尖就会喷出一点点无痕修正液, 错字会瞬间消失,纸面依旧干净整洁。写作业遇到不会写的字,按下黄色按钮,笔身就会弹出小小的屏幕,耐心的显示这个字的读音、笔顺和结构,一步步教我们学会。 如果晚上光线太暗,按下蓝色按钮,笔帽就会亮起柔和又护眼的小灯,稳稳照亮书本的每一个角落,保护我们的视力。 第四部分,结尾用书形式升华主题,就是我的奇思妙想,我真希望这只神奇的多功能笔能早日发明出来,有了它,我们的学习会变得更轻松、更快乐、 更高效。模板来看一下。

老师一眼爱上了奇思妙想,原来长这样!家人们,今天咱们继续拆解四下第二单元我的奇思妙想。 很多孩子写想象作文总觉得空,不知道从何下笔,其实是没有掌握写作方法。今天咱们就以这篇泛文神奇的纸为例,手把手教你四步写出高分作文,每一步都对应范围里的具体写法,孩子一学就会。 第一步,开头不直接说出自己要发明什么物品,而是直接从一件生活小事引出发明运用生活小事加烦恼加发明想法公式。比如,这天早上,我正在看着书,一不小心把水杯打翻了,书立刻湿了, 我赶紧把它拿去晒干,可晒干后树叶就起了褶皱,那可是我最信赖的书。看着它,再想想评论里那些被油污弄脏的书,不禁感到非常可惜,要是能发明一种防水防油还防污的纸该多好啊! 开头真实,老师肯定喜欢。第二步,来说说物品的外形怎么写?写清物品的样子加手感加特点,再加上比喻更生动。比如这种纸是用纳米植物纤维做成的,具有高强度的韧性,且一点也不硬。 它和 a 四纸一般,大小看是没什么特别,可摸起来手感却和丝绸一样的柔软。它不怕水、油和污,甚至连火都别想烧了它。仔细观察,可以看到纸的表面有一层由细小凸起形成的薄纳,这就使得纸张如同荷叶一样,可以让油污自动滑落。 接下来第三步,来说说作文的重头戏怎么写?功能介绍,一定要结合使用场景来写才真实具体。咱们可以运用怎么用加效果加好处这公式来写? 比如先来个中心句,这种纸张还有很多奇妙功能。接着写,把纸放在盛开的鲜花上,纸张便能吸收花香,然后长久的释放, 写字的笔也会因此而沾上香气。再来写个功能,这种纸张还配上了专用的无屑纸橡皮,写错字的时候,无论是什么笔写的,也不论写的有多糟, 只要轻轻擦一下就能擦干净了,还不会擦出橡皮屑。这样一来,再也不用担心满桌子的橡皮屑和或者作文中满是修改痕迹,我们的作业就可以干干净净的了。这样写有细节又有画面感。 第四步,结尾展望未来,表达愿望。现在,这是梦想,未来,这将是现实,让我们靠自己这一代的努力,发明出它照顾下一代的学生党吧!结构完整还能升华,主题作文完美收官。 最后用四句口诀来总结一下,开头小事引烦恼,外形手感加比喻功能分点写具体原理效果好处到结尾,愿望表决心,奇思妙想写得妙。 家长们你看这篇作文从开头到结尾,每一步都有章法,有例子,孩子照着写,四百五十字的高分作文轻松搞定。 觉得干货满满的家长点赞收藏起来,让孩子照着这个思路练一篇。最后,一定要记得关注翔老师,咱们下期继续拆解高分作文,一起帮孩子把作文提上来,记得关注再走哦!

四年级第二单元习作我的奇思妙想,孩子们审题不要搞错了啊,是让孩子们发挥想象力,来发明一种神奇的东西。注意,是发明物品,不是把自己变成有超能力的人。 关键呢,我们要抓住两个字,一个奇,一个妙字。想象了,我们可以大胆一些,比如说人在水里面走的鞋,会提醒错别字的钢笔,能够变形的书包, 越奇妙越好。那么好了,我们怎么来下笔?第一段,为什么想要发明它?要先写出发明的原因,比如说爬山太累了,想要发明登山助理鞋,总写错别字,想发明智能纠错笔,书包太重了。想发明多功能的书包,从生活中的小烦恼来入手,读者一下子就能够理解。 那么第二段,他长什么样子的?介绍物品的外形,大小,形状,颜色,材质,有没有特别的按钮,或者说屏幕。这里我们可以用电数字和做比较的方法,让读者更有画面感。比如说他普通的书包差不多大,但是重量只有原来的一半。 笔杆呢,它是透明的,里面藏着一块指甲盖大小的智能芯片。好第三段,它有什么样神奇功能?这个是重点啊,我们一定要详细的来写,我们呢可以列出两三个功能,用举例子的方式来介绍。比如说写多功能的书包,上学的路上,书包会根据重量来自动变颜色, 即将下雨的时候会弹出透明的雨罩。写错别字的时候,钢笔呢会轻轻的震动屏幕上的笑脸变皱眉。我们呢可以结合使用场景来写,让工人呢更加的生动。要记住,想法一定要大胆,书包夏天能够吹冷气,冬天能够供暖。 鞋底呢,藏着隐形的轮子爬山呢,自动切换模式,笔帽上的小花会根据心情来变颜色,把物品和科技把它给结合起来,就是属于孩子们的奇思妙想了。 好了,最后一段表达美好的愿望,结尾呢,我们可以这样来写真,希望我的发明能够早日实现,帮助大家解决更多的困难,让文章呢有个温暖的收尾。

四年级下册第二单元习作我的奇思妙想是一篇想象力习作,特别锻炼孩子的创新思维和表达能力。很多孩子小脑袋瓜子里面装满了神奇的想法,可是一写作就杂乱无章,不知道从哪下笔。今天王老师带着孩子们打开想象的大门,教孩子们写好这篇习作。 这次写作我们要按一定的顺序来写清楚,开头直接点题,说明你想发明什么,中间分段介绍外形和功能,结尾总结感受,表达期待。语句要通顺,想象要合理,如果充满了童趣,就会更加的精彩。 下面老师以会飞的鞋子为例,说说这篇文章的写法。开头直接点题,我想发明一双神奇的会飞的鞋子,有了它,我们的出行就会变得又快又有趣。 接下来写他的样子。这双鞋子整体是天蓝色的,鞋面有一双小巧的银色翅膀,鞋底隐藏着一对隐形的喷射器, 鞋带是发光的,在晚上会闪闪发光。鞋子的侧面有三个圆形的按钮,分别是起飞键、降落键和加速键,看起来既炫酷又科技感十足。 然后写它的神奇功能,这是最重要的部分,每天早上上学时,我穿上它,轻轻的按下起飞键,鞋子两侧的小翅膀就会扇动起来,带着我稳稳的飞向天空。 我可以像小鸟一样在空中飞翔,看看路边的风景,看看高高的楼房,几分钟就能稳稳当当的飞到学校。如果快要迟到了,按下加速键,速度就会变快,再也不用担心上学迟到了。 它还能防水防滑,下雨天也能自由飞行,遇到小河台阶都能轻松的飞过去。 最后写感受和期待。有了这双会飞的鞋子,出行再也没有烦恼,既节省了时间,又特别有趣,这就是我的奇思妙想。为了让这个奇妙的想象早点变成现实,我一定要努力学习知识,将来发明出这双鞋子,让大家的出行更加的方便。 看作文,按照点名发明介绍、外形描写功能、表达愿望的顺序,层次清楚,想象生动,一篇优秀的习作就轻松完成了。方法在手,高分不愁。如果孩子不会写作文,关注王老师,教孩子写好作文!

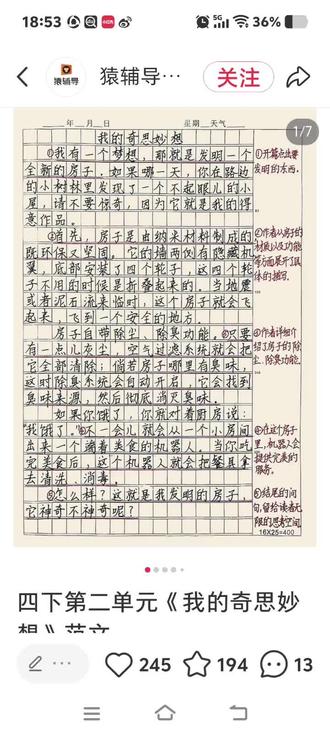
四年级下册第二单元习作我的奇思妙想那么什么是奇思妙想呢?奇思妙想就是特殊的、罕见的、出人意料而又美好神奇的想法。没有大胆的想象,就不会有伟大的发明。写想象作文,开头很重要, 开头写的好才能吸引眼球,激发读者的阅读兴趣。开门见山的开头常见,我们可以用疑问式或设问式开头,引起读者的好奇心,让人眼前一亮。比如我要写会飞的木屋,我们可以这样开头, 鸟可以在天上飞,飞机可以载着人在天上飞。有什么东西既能飞行,又可以载人,还可以让人在里面居住呢?我的脑海里冒出了一个奇妙的想法,我要发明一座会飞的木屋, 中间我们要想写发明的东西的样子和功能,结尾我们可以提出愿景,抒发情感,升华主题。接下来给大家展示优秀的满分范围,赶紧收藏起来吧!