用这种方法解题,会让老师眼前一亮,会让同学惊为天人。其实哪有什么天才的灵光一现,只不过是普通人日复一日的反复训练罢了。这就是解高中导数大题的神迹,凹凸反转。今天咱们用一个视频八道题把凹凸反转整明白。 凹凸反转的核心就是,如果我们正 f x 大 于零不好正,那咱们就把 f x 分 成小 f x 减 g x 正它大于零, 那也就是正 f x 大 于 g x 就 行了呗。那如果 f x 是 个凹函数, g x 是 个凸函数,是不是咱们只需比较它的极值点大小就可以了?只要它的极小值比它的极大值还要大,是不是咱们就得正了? 那现在如果 f x 里面有两个函数,一个是增函数,一个是减函数,它有可能是一个组合成一个凹函数,也有可能组合成一个凸函数。 打个比方, e 的 x 是 幂减 x, e 的 x 是 幂,是增函数,负 x 是 减函数,那它就是一个凹函数。 lo x 减 x lo x 是 增函数,负 x 还是减函数,它就是一个凸函数。不信的同学可以求个导看一下。这个理解起来也很简单,同学们想, e 的 x 是 m, 是 不是开始是这个样子的?是不是很缓?被负 x 拉着往下走 之后,他厚积薄发,越来越高,越来越高,越来越高,是不是就拉着负 x 往上走,所以他就是先减后增?这边也同理,那 x 他 本来非常牛,拽着负 x 走 往上,后来它慢慢变缓,就被负 x 拽着往下走,所以它就是先增后减。用这种方法比较的时候,是不是不等号两侧不能有任意一个,是单调的,这样它就没有极值了。 如果咱们组合不出凹凸函数,咱们就改造所有项,这些咱们从题目中来理解。我擦一下, 现在咱们来看第一题,同学们看咱们第一步是不是得判断函数单调性? 那现在第一项和第二项是不是都不太好判断?那咱们是不是得给它化简一下?同学们看,是不是几乎每项都有 x? 咱们能不能等式两边同时除以一个 x, 而且有 l x, x 就 大于零,所以它就等于 e 洛 x 减 e, x 再减 x 分 之 e 的 x 次密再加二 e, 它小于等于零。 那现在咱们就判判断函数单调性呗,第一项增,第二项减。同学们注意,判断单调性的时候,一定要把前面的符号带上。第三项, x 分 之 e 的 x 次密。同学们看,这 它是不是原本是一个凹函数,带上符号,它是不是就变为了一个凸函数?二 e 是 常数,咱不需要管它。那现在不等式两不等号两侧是不是不能单独出现一个单调函数?所以它俩咱们肯定是得把它放一块。 那二 e 常数项咱们不需要管它,咱们就把它挪过去呗。 那现在这边是不是就是老熟人了?在这它是不是就是一个凹函数?这是 f, 呃, g, 咱们把它令为 g x, 这里就是 g, e 等于 e, 那 这边咱们不知道是啥,咱们就把它令为 f x, 给它求个导看一下,那 f 撇 x 是 不是等于第一项 x 分 之 e, 再减 e 令它等于零,那 x 是 不是必须等于一? 那当 x 大 于一时,是不是 f 撇 x, 它是小于零的,因为 x 大 于一时,第一项比第二项要小,那函数是不是单调递 减?那这边也同理,当 x 小 于一,并且它还得大于零时, f 撇 x 大 于零,第一项比第二项大,函数单调递增, 那它是不是就是一个先增后减的函数,也就是凸函数?那这里是不是就是 f 一? 那咱们把一带进去,带到原函数里面去,第一项是不是就没了?第二项就只剩负 e, 再加二, e 也就等于 e, 那他们都在同一个点取到 e, 咱把它拼到一块去, g x 是 不是永远就大于大于等于 f x, 那 咱是不是就得证了?第一题搞定,我擦一下, 现在咱们来看第二题。第二题有同学就说了,这一增一减是不是可以直接开始算了? 那给它求完导后,是不是就是 e 的 x 次幂减去 x 分 之一等于零,这不好算吧?那怎么办呢?咱们是不是得把它俩挪到不等号两侧了? 也就是 e 的 x 次幂大于零, x 加二。那这两个都是增函数,咱们是不是就得改造所有项? 那怎么改呢?同学们想,咱们现在知道 x 分 之一的 x 的 密,那么能不能让不等式两侧同时除以一个 x? 况且还有 l 的 x, 也就是 x 分 之一的 x 的 密大于 x 分 之零, x 加二。那这它是一个凹函数,这边又是什么呢?咱们给它求一下导看一下,令它为 g x, 正好把它拆开来。同学们看, x 分 之二是不是可以把它换个形式? 是不是能写成二 x 的 负一次方? g 撇 x 是 不是就等于 x 方分之一减 lon x, 剩下一项就是减二 x 的 负二次方令它等于零,那么也就是 x 方分之一减 lon x, 再减去 x 方分之二等于零。还写在后边,那也就是 x 方分之一减 lo n x 减二等于零,这是不是就是这里放个符号,那上面是不是就是 一加 lo n x, 也就是 lo n x 加一,下面添上大于零,那么也就是 lo n x 加一等于零, lo n x 等于负一, x 就 等于 一分之一。当 x 大 于一分之一时,那么 lone x 加一是不是 大于零?带到这里来,是不是 g 撇 x 就 小于零了?函数单调, d 减另一个也同理,当 x 大 于零小于一分之一时, loan x 加一小于零, g 撇 x 大 于零,函数单调递增,那它就是先增后减,那这里是不是就是 g 一 分之一?带回去带到这儿吧,那也就是 一分之一分之 loon 一 分之一再加二,那么这是不是就是负一? 那再加二是不是就是一,也就等于一分之一分之一是不是就等于一?所以它就等于一,那这里咱们令它为 f x, 那 这就是 f 一 等于 e, 那 么咱们把它放到一块, 是不是大概是这样子,这是 e, 这也是 e, 那 有同学就说了,这岂不是 f x 大 于等于 g x? 其实不是的,因为它俩没有在同一个地方取到 e, 所以 不满足取等条件,也就是它大于它。第二题搞定,我擦一下, 同学们看第三题。咱们首先要判断函数单调性,那第一项, ln x 是 不是就是增的?那一的 x 是 幂,它是增的,再分之一是不是就变成减的了? 那负 e x 分 之二,它是不是也是减的?这三个无论怎么配,好像不等号的一一边都会出现一个单调函数,那怎么办呢?咱们是不是得改造所有项?那也就是咱们先把式子抄下来, 同学们想想,咱们怎么改造呢?这里有一个除以 x, 咱们能不能让不等号两侧同时乘一个 x, 也就是 x ln x 大 于 e 的 x, 分 别分之 x 减 一分之二,那最后一项是不是变成长数了?第一项 x 被的 ln x, 它是,咱们看图,它是不是 o 函数?那它在这,它是不是一个凸函数?它是一个常数?那现在是不是就是老路子了?同学们自己解一下。我擦一下 第四题,同学们看是不是三项都有 x? 那 咱们能不能不等号两侧同时除以一个 x, 也就是 e x 减 l n x 小于 e 的 x 次幂加 g x 分 之一,那咱们判断单调性呗,增减增减,那是不是咱们就可以直接做了?咱们先看这边吧,令它为 g x, 那 g 撇 x 是 不是就等于 e 的 x 是 m 加 e 分 之一,乘 x 方分之负一,那如果令它等于零,是不是这个 x 不 太好求呀?那咱们是不是得换个思路? 同学们想,咱们能不能让里头的东西调换一下位置?那咱们换一下它行不行? 它过来变成增的了,它过去就变成减的了,那也就是 e 的 x 次幂。呃,一乘 x 减 e 的 x 次幂小于 l n x 加 e x 分 之一,那设这边 f x, 这边 g x, 那 f 撇 x 是 不是就等于 e 减 e 的 x 则密,那它等于零, x 是 不是必须等于一?那当 x 大 于一时,是不是第一项啊?第二项比第一项要大,也就是 f 撇 x 小 于零,函数对应减,当 x 大 于零小于一时, f 撇 x 大 于零,函数单调 d 增,那它就是先增后减, 它的极值就是 f 一, 但你算一下,也就是 e 减 e 等于零, 极值点就是零。现在咱们再来看 g x, 这边 g 撇 x, 是 不是等于 x 分 之一加一分之一,乘 x 方分之负一,令它等于零,那 也就是 x 分 之一等于一分之一乘 x 方分之一, 它变成一,它俩是不是约掉了?也就是 x 必须等于一分之一。那当 x 大 于一分之一时,是不是 g 撇 x, 它 大于零,函数单调递增,当 x 小 于一分之一时, g 撇 x 小 于零,函数单调递减,那它就是先减后增,这里就是 g 一 分之一。带回去 这里第一项是负一,第二项是一,是不是也等于零? 那么是不是它永远大于大于等于它,但是它们不是在同一个地方取得的零,所以等于去掉,也就是 g x 大 于 f x 得正。我猜一下, 第五题,同学们看,是不是跟前几题一样,基本每项都有一个 x, 那 咱们也一样不等式,两边同时除以一个 x, 也就是 x 减 l n, x 减 x 分 之 l n x 大 于二分之一,那现在咱们就判断单调性呗, 增减,这是不是在这?但它前面有个符号,自然就是凹的二分之一是常数,那现在咱们是不是肯定得把凹的 放到不等号一边,也就是 x 减零, x 减二分之一大于 x 分 之零 x, 那 现在咱们另这边为 f x, 这边为 g x, 先看 f x, 咱们给 f x 求下,倒, 也就是 f x 等于一减 x 分 之一,令它等于零,那这时 x 是 不是必须等于一?那当 x 大 于一,是不是这一项变小了?所以 f x 它大于零,函数单调递增, 那当 x 小 于一,并且它得大于零时,是不是 f 撇 x, 它小于零,函数单调递减,所以它就是先减后增一个凹函数,这里就是 f 一 带到原函数里面去,也就是 一减零,一,也就是一减零,还是一再减二分之一等于二分之一,那这个就在这这个样子,这里是 g e, g e 等于一分之一, e 是 不是大概是二点七左右,也就是约等于二点七分之一,它的分母更大,所以 f x 就 大于 g x 得正。第五题搞定。我擦一下 第六题,同学们看前两项是不是都判断不了单调性?那咱们是不是得把它化简一下?那咱们等式两边同时除以 x, 咱先试试,也就是 l n x 加 x 小 于 x 分 之一的 x 密,那增增 凹,那这有两增怎么办?咱们是不是得改造所有项?那怎么改呢?咱们能不能等式两边不等式两边再除以一个 x, 把它变成长数,也就是 x 分 之 lone x 加一 小于 x 方分之一的 x, 则密那 x 分 之六 x, 咱们知道数人把它挪过去行不行?那咱们令这边为 f x, 所以 这边 这个样子,这里是 f e 等于一分之一。再来看这边,咱们令它为 g x, 那 给它求一下导呗, g 撇 x 是 不是等于 x 的 四次方分之? x 方乘 e 的 x 是 逆减 二, x 乘 e 的 x 次幂常数没了,令它等于零。那下面是不是天然大于零?那咱们就看上边 e 的 x 次幂天然大于,咱们直接把它约掉,那也就是 x 倍的 x 减二等于零, x 等于零或 x 等于二。咱们继续同学们看,根据这是不是 x 作为分母不能等于零?那现在 x 是 不是只能等于二了?那当 x 大 于二时, 是不是这里 g 撇 x 就 大于零,函数单增,当 x 小 于二时, g 撇 x 小 于零,函数单调递减,所以它就是先减后增。 这个点是 g 二,再到原函数里边,是不是就是 四分之一方减一?那现在是不是就比较他和他谁大谁小?那也就是比较他四分之一方减一,减去 一分之一,看看它是大于零还是小于零。那这个是不是不太好算?咱们能不能另一个 h x 等于四分之 x 方减一,减 x 分 之一,那这个函数在零到 正无穷区间内是不是单调递增?那么这个 e 是 二点七几,不太好算,咱们给它适当放松一下,变成二点五,是不是 he 一定大于 h 二点五?那咱们把二点五带进去算一下呗。也就是四分之六点二五减一,再减 零点四,那它是不是就等于四分之六点二五减一点四,也就等于四分之六点二五减五点六,那这个不用看,是不是它一定 大于零,所以 g x 比 f x 大, 咱们是不是就得证了?第六题搞定,我擦,一下, 第七题和第三题重复了,我爸让我用另一种方法解,我还没解出来,咱们直接看第八题。同学们看,现在这里出现了一个参数,不太好办了,那咱们先把它变一下形式, f x 是 不是等于 e 的 x 密分之 x 方乘 a 加 e 的 x 的 密分之 x 减一?那咱们能不能用变更主元法把它看成一个关于 a 的 函数,那 咱们要证明的是,当 a 大 于等于一时,它大于等于零,那这是 f x 加 e, 那 咱们就给它加一下 e 呗。求而证明它大于等于零,那咱们令这个玩意为 g a 行不行?咱们把这个抄下来, 那同学们看,如果咱们把这当成 k, 把这当成 b, 那 这是不是就等就是 y 等于 k, x 加 b, 那 它是不是就是一条直线?而且 k 它大于零,那这个点 就是 a 等于一呗。那咱们要证明 ga 大 于等于零,是不是只需要证明它的下端点大于等于零就足够了?也就是 g 一 大于等于零,那咱们把 e 带进去呗。 e 的 x 密分之 x 方, 再加上 e 的 x 的 幂,分之 x 减一加, e 大 于等于零,那同学们看,这里是不是出现了两个除以 e 的 x 的 幂,咱们能不能不等号两测同时乘 e 的 幂,也就是 x 方加 x 减一加, e 的 x 加一次幂大于等于零,那同学们看它是不是一个二次函数?凹函数,它是不是单调递增的,那它肯定得单独放一遍,咱们把它挪过去, 负负 e 的 x 加一次幂,但是不等号两侧又不能单独出现一个单调函数,它是不是现在变单增的了啊?单减的,那咱们是不是得改造所有项? 怎么改呢?咱们第一个想到的是不是乘 x 或者除以 x, 但这题里好像没有 line x, 所以 咱们不能保证不等号的方向,那咱们是不是得考虑考虑加 x 和减 x? 咱们加一个 x 试试,这是不是就是加二 x, 这个也加上一个 x, 那 这边是不是还是一个凹函数?这边一减一增,但它还不确定,咱们给它求一下,倒看看,令它为 h x, h x 是 不是等于一减? e 的 x 加一次幂, 令它等于零, x 是 不是必须等于负一?那当 x 大 于负一时,是不是 g h 撇 x, 它小于零,函数单调递减?当 x 小 于负一, h p x 大 于零,函数单调递增,所以它就是先增后减。 那咱们再来看它令它为 u x, 这个点,也就是二分之一负 b 是 不是负一?那把负一带进去是不是就等于负二?那这边是不是就是 h 负一带回去是不是也等于负二?看它大于等于它,咱们是不是得证了?第八题搞定,观众们,五年级今天又是一大堆数学题。
粉丝7.2万获赞17.1万

上高中的同学如果想考个好大学,这五题必须会。如果你看到这些题没思路,那我写几个咒语,有思路的截屏直接做没有思路的,接下来我来讲解。如果讲解完你还没有思路,那你可要抓紧了。 第一题,横成一求三,而且有 e 有 l, 咱们首选只对同勾。那同学们看,左边是不是有 e 的 x 加 a 次幂,右边还有一个负 a, 咱们能不能把这里的 a 挪过来? 那这边咱们要想做到同勾,是不是只说它是加一个 x 就 可以了?这边也得加一个 x, 那 现在这边有同的样了,但这边不是啊,那咱们是不是得变些什么?咱们是不是得把 x 变成逆的 non x 次逆?那现在是不是就做到同够了?咱们把这里位置改一下, 这是不是就是同勾?那咱们令 f t 等于 e 的 t 次幂加 t, 那 么是不是也就是 f x 加 a 大 于等于 f ln x, 那 同学们看 e 的 t 次幂单调递增, t 也单调递增,那它是不是就整体单调递增?所以 x 加 a 也就大于等于零 x, 那 咱们把参数放在等式一侧,不等式一侧参变分离,另一面就是零 x 减 x, 咱们令零 x 减 x 等于 g x, 那 咱们给 g x 求一下导看一下即值呗。也就是 g x 等于 x 分 之一减一,令它等于零 x, 是 不是必须等于一?那当 x 大 于一时,是不是 整体单调地减?当 x 小 于一时,整体单调地增,先增后减?这里是不是就是 g 一 再把一带过去,也就是零减一等于负一? a 要大于等于零 x 减 x 横乘以,是不是只需要 a 大 于等于负一就可以了。第一题搞定。第二题也很简单, 既然这有除以 e, 这也有除以 e, 咱们不等号两侧同时乘一个 e 行不行?也就是 m 被的 e 的 x 乘以加零, m 大 于等于 law x, 那 这个怎么构造同构呢?同学们讲 law 不好折腾,咱折腾 m 呀,咱们把 m 能不能变成 e 的 law x me 也就在这加 law m, 那 现在这有 law m 是 不是还差一个 x 不 等号两侧同时加一个 x, 那这边是不是有同的样了?这边咱们是不是也得改?只能算它 x 了呗。把它变成 e 的 loon x 次幂,这是不是也凑出同钩了?那也就是令 f t 等于 e 的 t 次幂加 t 呗。 那剩下的是不是就不需要我讲了?但是同学们要注意,最后求 m 取决于范围的时候,要讨论一下第一题,第二题搞定。我擦一下 第三题。同学们看一条直线,一条曲线,求的还是分式,首选零点比大小,那这题既然要求它的最大值,那是不是咱们就得凑出 a 加四和 b 减四,那 a 加四怎么凑呢? 这有 ax, 这有四 x, 咱们能不能把它挪过来?那负号变成正号,也就是 a 加四倍的 x, 那 b 减四怎么凑呢? 同学们看,这有加二挪过来变成减二两不等号两侧再同时减二,是不是就凑出 b 减四了?那这边是不是他挪去了,他挪去了,还减了一个二,也就是 e 的 x 乘以减二, 那同学们看他大概是这个样子,他呢?大概是这个样子。 因为横成列,所以曲线在直线上方,而且 a 加四必须大于零,因为它是朝上的,那咱们就比较一下零点呗。当它等于零时,是不是 e 的 x 米等于二, x 就 等于零二。 那这边,当它等于零时,是不是 x 就 等于 a 加四分之 四减 b, 这是 l 二,这是 a 加四分之四减 b, 那 也就是 l 二小于等于 a 加四分之四减 b 呗。两边同时乘一个负一,上面就变成变成 b 减四, 也就是它的最大值是负零二。第三题搞定, 咱们继续接下来咱们来看第四题,这是最简单的凹凸反转题型,同学们,看,它已经给咱们凑好了,那咱们就令 a 减二,零 a 为 f, a, 那 咱们就给它求一下,倒看一下积值呗。也就是 f 撇 a 等于一减 a 分 之二,令它等于零, a 是 不是必须等于二? 那当 a 大 于二时,是不是函数单调递增?当 a 小 于二时,函数单调递减,所以它就是先减后增,这个地方就是 f 二,咱们再把二带回去,也就是二减二 lone 二, 那咱们再另右边为 g b 也就等于二 lone, b 减四, b 加四,同理,咱们给它求一下,倒,也就等于 b 分 之二减 四,令它等于零,是不是 b 必须等于二分之一?当 b 大 于二分之一时,函数单调递减。当 b 小 于二分之一时,函数单调递增,所以它就是先增后减,这个点就是 g 二分之一,咱们再把二分之一带回去,也就等于二倍的 loon。 二分之一减二加四,也就等于给它加上一个二,那这里是不是还可以化简?它是不是就是二的负一次面? 那负一是不是还可以放到前边?这是不是和它完全一样了?因为这还是等式,所以 它的极小值和它的极大值必须在同一个点上。那这个时候 a 等于二, b 等于二分之一, b 的 a 次幂就是二分之一的平方,等于四分之一。第四题搞定,我擦一下。 第五题更简单,用凹凸反转直接秒。但今天咱们用零点来做,同学们看,既然要让它大于二,横乘以,咱们能不能令 f x 等于 e 的 x 是 密减零, x 再减二,给它求一下导,看一下极值,那也就是 f 撇 x 等于 e 的 x 是 密减 x 分 之一, 令它等于零,这个没法解,那咱们是不是就给 x 代入一个值?有 e 的 x 次幂首选零,但是这有 x 分 之一,零就不行了,咱们看它是单增的,它也是单增的。咱们选一个比零大的,先选一吧,也就是 f 撇一是不是等于一减一,它是不是肯定大于零?那它大于零,咱们再找一个小于零的,那是不是得比一再小一点,也就是 f 撇二分之一,咱们得二分之一,它是不是等于根号 e 减去二, 它是不是小于零?所以存在一个 x 零属于二分之一到一,使 f 撇 x 零等于 e 的 x 零次密减, x 零分之一等于零。那现在当 x 大 于 x 零时, 是不是看一这头,也就是整体单增?那反过来, x 小 于 x 零看二分之一,这头单减,先减后增,这个点就是 f x 零,把 x 零带回原式,也就等于 e 的 x 零次密减 lo n x 零再减二, 咱们要证它大于零,只需要证明它大于零就可以了。那么同学们看, e 的 x 零次幂是不是等于 x 零分之一?咱把它换成 x 零分之一, x 零是不是也就等于 e 的 x 零次幂分之一,也就是减去 lo n e 的 x 零次幂的负一次幂。那咱们还得再减去一个二,那同学们讲, 这是不是就是把它挪下来变成加,里面就是 x 零呀?那现在咱们用基本不等式,它是不是大于等于二?但他们想,因为取等条件是当它等于它,也就是 x 零等于一时,等于才能成立。但是这里要求了, x 零属于二分之一到一,一取不到, 那么所以这个他不能取。等那一个大于二的数减去二,是不是肯定大于零?第五题搞定。我擦一下,如果到这有同学还不理解,那么可以翻我之前的视频,有详细的解说,搞定观众们。五年级今天五道数学题。

同学们好,这节课我们来上高中数学选修二,导数的第三十三节课,导数解析策略之凹凸翻转 前面我们在讲必要性探路的时候提到过凹函数和凸函数,那么这节课呢,我们就要利用凹函数和凸函数图像的特性来证明不等式。那我们再来回忆一下凹函数和凸函数它是怎么定义的? 如图一,图像上任意弧段位于所在弦的下方,那我们就称这个函数为凹函数, 那么它就是凹下去一块嘛。图像上任意弧段位于弦的上方,那我们就称这个函数为凸函数,往上凸出来一部分。 那么什么是凹凸翻转呢?很多时候我们需要证明 f x 大 于零,但并不代表我们就要证明 f x 的 最小值大于零。 因为大多数情况下,导函数的零点是解不出来的,那么导函数的零点解不出来,我们就找不到极值点,找不到极值点就找不到最值点。 所以说绝大部分函数它的最值我们求不出来。当然呢,导函数的零点如果解不出来,我们也可以用设引零点的方法,但是引零点也不是万能的,那我们知道引零点一个最关键的作用就是超级替换, 有的时候引零点也并不能完成替换,那么这个时候呢,我们就可以尝试用凹凸翻转。 那什么叫凹凸反转呢?就是如果我们要证明 f x 大 于零,可以把 f x 拆成两个函数, g x 和 h x, 把它们两个放在不等式的两边,即我们要证 g x 大 于 h x, 那 我们要比较这两个的大小。怎么比较呢?我们只要证明 g x 的 最小值大于 h x 的 最大值即可, 那如图所示,我们如果能证明 g x 的 最小值比 h x 的 最大值还大,那么这个时候 g x 一定是大于 h x 的, 那么这个道理呢,是非常明显, 那我们得到了这个命题,显然这个命题是更强,他反过来就不一定成立。那么这个是什么意思呢? 我们现在呢,再画一个函数图像,那么这种状态并不能满足 g x 的 最小值大于 h x 的 最大值, 但是呢,它仍然可以保证 g x 是 大于 h x 的, 因为你 x 无论取什么值, g x 的 图像总在 h x 图像的上方。 那因此呢,我们强调 g x 的 最小值比 h x 的 最大值大,这个条件他就是一个强化的条件,你在这个强化的条件下都满足,那所以说呢,他肯定是满足的。 如果这个强化的条件下不满足,那怎么办呢?那么这个问题呢,就是我们的必要性探路,我们可以找到他们两个相切的状态,如果在这个相切的状态下,也可以是保证 g x 永远大于 h x, 那么这个时候我们就可以利用相切的状态去求参数的取范围。同学们在回忆下,我们在讲必要性探路的时候,最后的一节课取点探路,就是找它们两个相切的位置去求对应的参数的值。 很明显, g x 是 凹函数, h x 是 凸函数,因为两个函数的凹凸性刚好相反,所以说呢,我们称它为凹凸翻转。 凹凸翻转以及零点都是用来处理倒函数零点不可求的问题,这两种方法互为补充。 凹凸翻转的关键是如何分离,因为我们在解析的时候,我们常见的不等式,它都是由指数函数、对数函数、分时函数和多项式函数构成。当我们构造差值函数不容易求函数的零点时, 也就是我们构造 g x 减去 h, x 大 于零,这个函数不容易求导数零点的时候,那么当然呢,我们也可以考虑用零点的方法, 那么不容易求导函数的零点,我们可以考虑只对分离,即把指数函数和多项式函数结合,对数函数与多项式函数结合,分开构造两个单分函数。 什么叫单峰函数呢?就是说如果是下凹的,他只有一个谷底,那如果是上凸的,他只有一个波峰,那么这个时候我们再利用导数分别求出两个函数的最值进行比较。 当然我们要非常熟练的掌握一些常见的子对函数和多项式组合函数的图像和最值。那么这里呢,就牵扯到了我们导数中的八步天龙,也就是在解决导数问题中我们经常用到的八个函数, 那么这就是八步天龙。上面这四个都是与指数有关,下面这四个都是与对数有关。 这八个函数也是在讲同过的时候,一定要掌握的八个特殊的函数,所以说他们的地位是非常的重要。我们先来看上面这一排,那么特别是前三个,它是 x 和 e 的 x 次方相乘与分别消除。 如果是 x 乘上 e 的 x 方,那么它就是一个下凹的函数,它在负一处取到极小值。如果是 x 除以 e 的 x 方,它就是一个上凸的函数,它在 e 处取得极值, 这个函数,如果 x 趋向无穷大的时候,它的函数值是趋向于零的,因为这个分母上它是 e 的 x 方,它的增数比较快。所以说呢, x 趋向无穷大,它的值就趋向于零。 我们再来看第三个,分母上是 x, 分 子上是 e 的 x 次方,那么这个函数呢,我们只研究它 x 大 于零的这部分。 x 等于一是它的极小支点,它也是一个下凹的, 因为分子上 e 的 x 次方增加的快,那因此呢,当 x 趋向无穷大的时候,它的值是趋向无穷大的。 所以说呢,这两个,你根据他增加的快慢,就知道他是一个上凸还是一个下凹的状态。那么这一个呢,就是一个经典的曲线不等式,他在 x 等零时等于零, 他在我们凹凸翻转里面用处不太大。所以说呢,这一个同学们先不用记他下面这一排呢,也是一个相乘,两个相除的关系。 第一个,他是在 x 等于一分之一的时候,取到了一个极小值对数的。第二个,他仍然是一个上凸的函数,因为分母增加的比较快。所以说呢, x 趋向无穷大的时候,他逐渐趋向于零,他在 x 等 e 处取到极大值。 第三个,因为 long x 在 分母上,那所以说呢,它的定义中, x 不 能等于一。一般情况下呢,我们都是研究 x 大 于一的这一段,它仍然是一个下凹的函数。 x 等 e 的 时候,取到极小值点, 因为分子上是 x, 它的增加的速度比分母大。所以说呢,当 x 趋向无穷大的时候,它的值趋向于无穷大。第四个,仍然是一个经典的梯形不等式,它在 x 等一处取到了一个极小值。 我们在讲凹凸翻转的时候,主要是利用上面这三个指数型的和下面这三个对数型的,把函数经过变形变成其中某一个形式, 那么我们就可以利用它的凹凸性去求它的最值,然后再去比较大小,从而证明不等式。 那么这一个可能,同学们觉得我怎么能一下子记下来呢?那肯定是不太容易的,我们需要结合解析,多看多想, 你就逐渐的可以把他们记下来了。那因为我们是刚开始接触,所以说呢,我们在解题的过程中,边做题边回过来看他对应的图像的情况。 同学们记住这里面呢,一共是六个下凹,两个上凸,这两个上凸,它的变化趋势都是 x 趋向无穷大的时候,它逐渐趋向于零,它为什么会逐渐趋向于零啊?因为它的分母跑得快,导致它的值是逐渐于趋向于零。 所以说呢,你先记住这一个分母跑得快,那另外的这一个除的形式,那就是分子跑得快,那么他就去了无穷大的这个方向去。所以说呢,这两个都是下凹的, 所以说呢,两边两个是下凹,那么中间一个是上凸,那么他们放在一起就相当于是一个凸字的结构,两边的是凹,中间的是凸。同学们无论用什么方法,你多去想一想,肯定可以把他们记得下来。 好,接下来呢,我们就用具体的题目给同学们来演示一下如何利用凹凸反转来证明不等式。我们这节课呢,先来学习可以把函数化为与对数有关的形式的不等式的证明, 我们来看例已知函数,让我们证明对于任意的 x 大 于零这个不等式成立。 这显然呢,是从一道题中截取出来的一部分。所以说呢,你可能觉得这个式子为什么会变成这个样子?没关系,我们只要会把这个函数分离,凹凸反转证明就可以了。我们先把这个式子列出来,我们看一看需要证明的式子是什么。 因为我们要证 x 乘上一方分子两倍的 e 的 x 次方加一,再加上一加上 a 倍的 x, 它大于一加上 a 加一倍的 x, 再加上 long x, 我们可以看见一可以抵消掉一加 a 倍的 x 和一加 a 倍的 x 也可以抵消掉。那所以只要正 x 乘上一方分子两倍的 e 的 x 次方大于 long x, 然后我们两边再同时乘以 e 的 平方,那也就是 x 分 子两倍的 e 的 x 方大于一方乘上零 x, 我 们可以看到不等号的左边已经是一个八部天龙中的一个 e 的 x 次方在上面,它是跑得快的,所以说呢,它是一个下凹的,那么但是 long x 它是一个单调递增的,它没有极值点,所以说呢,我们要把这个函数变成一个上凸的,那怎么能变成上凸的呢?那我们需要再给它除一个 x, 所以说呢,因为 x 大 于零,所以说呢,我们只要证两边同时除以 x, 那 就是 x 平方分子两倍的 e 的 x 次方大于 x 分 子一方乘以洛 x。 这样的话呢,我们就把这个函数拆分好了,我们要把不等号两边给它命名。那所以说呢,我们令 g x 等于 x 的 平方分子两倍的 e 的 x 之方, h x 等于 x 分 子一方乘以零 x, 我 们先对 g x 求导,求它的最值,那么这个是分母线平方,然后二。我们提出来,上导下不导,那就是 e 的 x 次方,乘上 x 的 平方,减去下导上不导。 约掉一个 x 以后,那就变成了 e 的 x 次方,乘以 x 减去二,乘上 e 的 x 次方,那所以说这个导函数就是 x 的 三次方,分子两倍的 e 的 x 次方,乘以 x 减二, 所以说呢, x 属于零,到二的时候,它的导函数小于零,那么 g x 为减, x 属于二,到正无穷的时候,它的导函数大于零,所以说 g x 为增, 那么所以说呢, g x, 它就在二处取到最小值,它就大于等于二所对应的值。我们把二带进来,那就是四分之二乘上一的平方,所以说呢,约掉以后,就是二分之一方。 好,接下来我们来看 h x 的 最大值是多少?对 h x 求导,我们先分母平方,然后把一方提出来,上导下不导,那就是一。再减去,下导上不导,那就是零 x, 那 所以说它的导函数是 x 平方。分子异方乘上括号中是一,减去零 x, 那很显然,因为 x 属于零,到 e 的 时候,这个导函数大于零,所以说 h x 为增, x 属于 e, 到正无穷的时候,这个导函数小于零, 那因此 h x 为减,那么所以 h x, 它在 e 处取到最大值。我们把 e 带进来,分母上是 e, 那 分值上是 e, 那 所以说呢,这个值是等于 e, 那显然它是小于二分之一方,那么所以说呢,我们就得到 g x, 它是大于 h x, 那 么所以说呢,我们所证是成立的, 那到此呢,我们就把这道题证出来了,那我们这道题的解析步骤是什么呢?我们来总结一下。我们首先第一步要构造函数, 我们通过一项整理,把不等号的两边构造成两个具有不同凹凸性的单峰的函数,那么这个构造的依据就是我们的八步天龙。 构造好以后,我们要分别求它们的最值,如果我们能构造,那么求最值一定是非常简单,我们求出来最值以后,去比大小,就可以得出来我们所要正的结果。 那么由这三个步骤我们就可以知道,构造函数就是这个问题的最关键的步骤,同学们一定要迅速的把它们构造到这个八步天龙上面去。 接下来我们再来看这道题目,证明对于一切 x 属于零的重无穷绕, x 大 于 e 的 x 次方分之一减去 e x 分 之二,这个四指横成立。 很显然呢,左边这个 l x 它没有极值,那同样这个 e 的 x 次方分之一,它也是没有极值,那所以说呢,我们要在这个四指两边同时乘以 x, 因此呢,我们只要证 x 乘以 l x 大 于 e 的 x 次方分之 x 减去 e 分 之二, 那么这个函数它是一个对勾,它是下凹的,那么这个函数它的分母上跑得快,那因此呢,它是一个上图的,那所以我们就完成了凹凸翻转,那接下来呢,我们要给它们命名,所以说呢,我们令 g x 等于 x 乘以零 x, h x 等于 e 的 x 次方分之 x 减去 e 分 之二,先对 g x 求导,它是前导后不导,那就是零 x, 然后再加上后导前不导,那就是加一。 那么所以说呢, x 属于零,到 e 分 之一的时候,这个导函数是小于零,那因此呢, g x 为减, x 属于一分之一,到正无穷的时候,这个导函数大于零,那所以说 g x 为增,他先减再增。那所以说呢, g x 他 就有最小值,那就是一分之一带进来得到的, 因此呢,这个值是负的 e 分 之一。然后我们再对 h x 求导,它是分母先平方上导下不导,减去下导上不导,然后约掉一个 e 的 x 次方,那就变成了是一减 x, 那 因此它的导函数是 e 的 x 次方分子一减 x, 那 么所以说呢, x 属于零,到一的时候, h x 的 导函数大于零,那所以说 h x 为增, x 属于一,到众无穷的时候, h x 的 导函数小于零, 所以说 h x 为减,它先增再减,那所以这个 h x 它的最大值,那就是一所对应的,那我们带进来,那就是一分之一减去一分之二,等于负的一。 那么接下来就是我们在用凹凸翻转的时候遇到的一个新的问题,他的最小值是负的一分之一,他的最大值也是负的一分之一,那么我们证明的他是不等的, 那么这个怎么办呢?那我们来看一下,他们两个是不是能同时取到呢? g x 是 在一分之一处取到, h x 是 在一处取到。 这个意思就是说,虽然是 g x 的 最小值和 h x 的 最大值是相等的,但是它们两个是在不同的地方取到的,那所以说呢,无论 x 等多少,仍然是 g x 的 值比 h x 的 值大。 那所以说呢,我们要说明,因为两函数奇值点不同,那么所以说呢, g x, 它是大于 h x, 那 么所以说呢,我们所证成立, 那么这样呢,我们就完成了证明,他和上一道题呢,是稍微有一点点变化,就是我们求出来这两个函数的最值相同时,怎么说明他这个不等号是取不到等的。 好,接下来我们再来看这道题目。设函数 f x 曲线, y 等于 f, x 在 点一, f 一 处的切线方成为 y, 等于一倍的 x 减一,再加二,让我们求 ab 的 值, 我们先求导,利用 e 所对应的斜率等于 e, 看看能求出来什么。前面是一个乘积的形式,前导后不导,那就是 a 乘上 e 的 x 次方,乘上绕 x 加上后导前不导,那就是 x 分 之 a 乘上 e 的 x 次方, 然后再加上后面这个分式求导,先分母平方,然后 b 提出来上导下不导,那就是 e 的 x 减一次方,乘以 x 减去下导上不导,那就是 e 的 x 减一次方, 那所以说这个就是 x 的 平方分子。 b 乘上 e 的 x 减一次方,与 x 减一相乘,那么因为切线的斜率为 e, 那 所以说呢, f 一 的导数值就等于 e, 我们把一带进来,这一个值是等于零,这个值也是等于零,那所以说呢,这里就等于 a 乘上 e, 那 么所以说呢, a 乘上 e 等于 e, 所以 a 等于一, 那又因为一是横坐标,我们带到切线方程里面, y 是 等于二,那所以说呢, f 一, 它就等于我们把一带进来,那就是 b, 它就等于二,那所以说呢, a 等于 b 等二, 那所以说这个函数 f x, 它就是 e 的 x 次方,乘以洛 x, 再加上 x 分 子两倍的 e 的 x 减一次方。 好,然后我们来看第二问,让我们证明 f x 大 于一,那很显然不可能直接对它求导求最值的, 所以说呢,我们考虑凹凸翻转,我们要正 e 的 x 次方乘以零 x 加上 x 分 之两倍的 e 的 x 减一次方大于一。我们只要正,我们首先把子对分离,那是 e 的 x 次方乘上零 x 大 于 e 减去,那么这个就是 x 分 值两倍的 e 的 x 减一次方。指数和对数成在一起,肯定是不对的。那所以说,两边同时除以 e 的 x 次方, 那么左边就是洛 x 大 于 e 的 x 次方分之一,再减去 x 乘上 e 分 之二,那么这两个函数都是单调的,那所以说呢,是没有极值可比。那因此呢,我们要把这个 x 给它去掉,就是等于两边同时乘以 x, 所以它就变成了 x 乘以零 x, 那 么这就是一个勾子,它是一个下凹的,它大于这个 e 的 x 次方分之 x 减去 e 分 之二,这个是指它是分母跑得快,那所以说呢,它是一个上凸的,那么这样我们就完成了凹凸反转。 所以说呢,我们只要证 x 乘以零 x 大 于 e 的 x 次方分子 x 减去 e 分 之二。好,我们完成了凹凸反转。下面我们给它起上名字, 我们令 g x 等于 x 乘以零 x, h x 等于 e 的 x 次方分子 x 减去 e 分 之二。 很显然呢,这两个函数都是八步天龙里面的函数。那我们回过头来,再看一下图像,我们就不再写详细的求导求最值的过程了。 g x 就是 x 乘上绕 x, 它在一分之一处取得最小值是负的一分之一。 e 的 x, 次方分子 x, 它在 x 等一处取到最大值是一分之一,然后再减去一分之二,所以说它的最小值就是负的一分之一, 那我们就把这个过程省掉了,我们直接写结论,因为 g x, 它是大于等于一分之一带进来,对应的只是负的一分之一。 h x, 它是小于等于一带进来,那是一分之一减去一分之二等于负的一分之一, 并且两函数的极值点不相同。那所以说呢,我们就证出来了,是 g x, 它大于 h x, 那 所以所证成立到此呢,这道题我们就解完了, 同学们根据我们这三道题的解法,应该能体会到凹凸翻转它是如何去解析的, 用它来证明四指中既有指数又对数这种形式的不等式,它是非常的方便的。好,那么这节课呢,我们就把内容讲完了,我们把今天所讲内容再给同学们总结一下。 我们首先复习了凹函数和凸函数的几何特征,然后呢,我们又介绍了如何利用凹凸翻转的方式去比大小。 同学们要明白,凹凸翻转它是一个强化的条件,如果 g x 的 最小值比 h x 的 最大值还大,那么它一定是比它大。那如果 g x 大 于 h x, 我 们并不能保证一定是它的最小值比它的最大值大。同学们要明白这个道理, 因为凹凸翻转的关键是如何分离,如何去构造函数。所以说呢,这里我们介绍了八步天龙, 特别是前面六个函数,它是我们在凹凸翻转构造函数的一个重要依据。所以说呢,同学们,有了这六个函数在手,你就有一个明确的目标可以进行转化了。 我们利用凹凸翻转去证明不等式的时候呢,我们要遵循这样的步骤,第一,我们首先要构造函数, 使得不等号两边的两个函数它的凹凸性相反。然后第二步,我们要分别求出它们两个的最值。第三步,再根据最值去比大小。 我们绝大部分情况下会遇到解出来的两个函数,他们的最值相同,但是呢,所证的是不等的关系。那么这个时候呢,我们要说明两函数的极值点不同, 他们两个不能同时取到,所以说呢,这个等号是取不到的。如果一个问题能用 auto 翻转解决,那么这个问题呢,就会变得比较简单,所以呢,同学们要结合 auto 翻转和引零点来解决不等式证明的问题。好,那这节课内容呢,就讲到这里,同学们再见。

今天我们来讲一下函数的凹凸性,这个概念是大学高等数学的内容,但是高考有些题目会涉及到一点点,今天我们就来见识见识。对于单调递增函数,它分两种情形,第一种呢是向上凹的曲线,还有一种呢是向上凸的曲线, 这两种有很大的差别,下面就具体来看一下。先来说向上凹的曲线,在曲线上随便找几个点,一个点的是 a 点, 在坐标呢是 x 一 fx 一。还有一个点的是 b 点,坐标呢是 x 二 fx 二在 x 一 x 的终点位置呢,也就是 x 一加 x 除以二。这上面呢,找到一个点 c 点, c 在曲线上,所以它的坐标呢,就是这个。还有一个点呢,是 ab 的终点, 点地地不在曲线上,他的坐标呢,就是拿着 ab 两点的横坐标向加除以二,纵坐标向 加除以二。从图上呢,很明显能观察到地点呢,是在 c 点的正上方的,所以可以得到 ab 的平均值是大于中间的函数值的。接下来再来看第二种情况,向上凸的曲线还是像刚刚那样找几个点。首先呢,是 a 点, 坐标呢是 x 一 f x 一。还有一个点的是 b 点,坐标呢,是 x 二 f x 二, x 一跟 x 二的终点呢,是 x 一加 x 除以二。 c 点呢,就是中间位置的函数,持地点呢是 a b 两个点的中点。从图上呢,很明显的能观察到 c 点在 d 点的正上方, 所以可以得到中间的函数值呢,是大于 ab 两点的平均值的。除了这个不一样之外,对于凹凸性不同的函数,他们的切线与曲线的关系也不一样。现在看向上凸的函数,他的每一条切线呢,都在这个曲线的上方,但是对于上凹 高的函数来说,他的每一条切线呢,都在这个曲线的下方,那具体用代数是如何去表示呢?下面就来看一下。现在看向上凸的曲线,我们要先求一下他的切线方程,随便找一个 a 点, 它坐标呢是 f 零 fx 零,根据导数的几何意义,在这一点处的切线斜率呢,就是在这一点处的导数, 所以可以得到 k 等于 f 片 x 零知道的一个点,同时又知道斜率,我们再带入点斜式化解一下,就可以得到这个切线方程,等于下边这个式子。根据刚刚的结论,切线一直是在曲线的上方,所以可以得到切线呢,它是大于等于 fx 的。 下面呢再来看向上凸的曲线,还是相同的研究方法,先来找他的切线方程,切线方程的利用点斜式跟刚刚的分析过程是一样的,他的切线呢就是这个式。由图上可以观察到,曲线一直是在切线的,这上 可以得到 fx 呢,一直是大于等于这条且线的,这个就是函数凹凸性的两个特点。今天讲的内容有点难,不知道你听明白了没有?

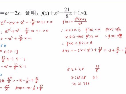
同学们好,这节课我们来上高中数学选修二导数的第三十四节课,这节课我们来上导数解析策略之凹凸翻转的第二节课。 我们在上一节课的基础之上来继续讲解用凹凸翻转来证明不等式。 上节课我们首先回忆了什么叫凹函数和凸函数。在这个基础之上,我们如何把一个不等式拆分成两部分, 拆成一个 g x 和 h x。 我 们如果证明了 g x 大 于 h x 的 最大值,那我们就可以证明 g x 大 于 h x。 我 们还解释了这是一个加强的条件, 如果 g x 最小值它大于 h x, 最大值一定可以满足 g x 大 于 h x。 反过来,如果 g x 大 于 h x, 我 们并不能证明它的最小值比它的最大值大。遇到这种情况,我们就不能用凹凸翻转来解了,我们要寻求别的方法去解决。 上节课还给同学们提供了我们在凹凸翻转变形的时候必须瞄准的几个方向,也就是八步天龙。其中六个是我们经常要用到的, 上面三个是与指数函数有关的,它是下凹、上凸和下凹。下面三个是与对数函数有关的,它仍然是下凹、上凸和下凹, 这也是我们在凹凸翻转的时候要瞄准的方向。我们把它变成如图所示的几个函数上,就可以利用凹凸翻转去比较它们最值的大小。 上节课我们主要讲解的是把函数变成对数形,其实呢,变成对数形的同时,有一部分也要把它变成指数型。那么这节课呢,我们继续来讲解 可化为指数型的凹凸翻转的变化。当然了,其中另外一部分就要化成对数形。 我们先来看这道题目,设 f x, 让我们证明这个四值它大于零,那也就是我们要证 f x 代入以后,那就是 e 的 x 次方减二, x 加上 x 的 平方减去八分之二十一, x 加一大于零, 那我们只要证把它整理一下,那就是 e 的 x 次方加 x 的 平方减去八分之三十七, x 加一大于零。 然后我们把指数函数留下来,把另外的给它移到不等号的另一边,那就是 e 的 x 次方大于负 x 方加上八分之三十七, x 减一, 我们把它变形成这样一个形式以后,这一个函数它已经是一个开口向下的抛物线,它满足了一个单峰的函数,但是呢,这个 e 的 x 次方,它是一个单调递增的函数, 那所以说呢,它没有极致点,我们要对这一个四指进行变形,那很显然呢,我们要在两边同时除以 x, 但是除的这个 x, 它到底是正还是负呢?那我们要对 x 的 正负进行分类讨论。 我们来看,如果 x 小 于等于零,对于 e 的 x 次方,它的范围是属于零到一,那么对于负 x 的 平方加上八分之三十七, x 减一, 因为它的对称轴是负的二, a 分 之 b, 那 就是八分之三十七,那也等于十六分之三十七, 它是大于一的。所以说呢,这个开口向下的抛物线,它的对称轴大于一,那所以呢,在 x 小 于等于零的这个范围内,它在零处取到最值, 那所以说呢,这个二次式,它的值是小于等于负一,那所以 e 的 x 次方,它是大于负 x 方,加上八分之三十七, x 减一。 那么接下来我们来研究,如果 x 大 于零,那么这个时候呢,如果我们按照初衷的思想去求这个二次函数在零到正无穷里面的最值,我们会发现它的最大值比 e 的 x 次方在零到正无穷里面的最小值还要大, 那所以说呢,就会出现 e 的 x 次方是这样一种状态,二是函数是这个状态,那所以说呢,就不能完成最小值与最大值的比较, 所以说呢,我们还是需要把这个式子进行变形,构造凹凸函数去比大小,那所以我们把它变成为 x 分 之。 e 的 x 方大于负 x, 减去 x 分 之一,再加上八分之三十七。 然后我们令 g x 等于 x 分 之一的 x 次方。 h x 等于负 x 减去 x 分 之一,加上八分之三十七。 我们先对 g x 求导,去求它的最值,这显然它是八步天龙里面的一个分母平方上导下不导,减去下导上不导,那所以说呢,是 x 的 平方分子, e 的 x 次方与 x 减一相乘, 所以说 x 属于零到一, g x 的 导函数小于零,那么 g x 为减, x 属于一到众无穷, g x 的 导函数大于零,所以说呢, g x 为增,它先减再增,所以 g x 它就大于等于一所对应的函数值,那我们带进来以后就是 e, 然后我们来研究一下 h x, 我 们提取出来符号,那么括号中那就是 x 加上 x 分 之一,再加上八分之三十七。括号中这个四指是大于等于二, 那么添上符号以后,整个式子它就是小于等于负二,那因此呢,它是小于等于负二,加上八分之三十七,化解以后,这个值等于八分之二十一。 e 的 值约等于二点七一八,他和八分之二十一去比,那也就是二点七一八乘以八和二十一去比,那么这个值他约等于二十一点七四四, 那所以说呢,这个值他是小于 e。 看到这里,同学们就应该明白出题人他是怎么去想的, 为什么这里他设置了一个八分之二十一,你就明白了,他就是为了让你拿着这个八分之二十一和一去比较, 你会发现二十一点七四四和二十一就差的非常非常的少。如果你解完题以后,再去思考这样一个问题, 你就知道出题人为什么会设置这样一个的结果,你有了出题人的思维,你就明白了他给你设置的陷阱,他给你设置的圈套。如果你能把这些问题都想明白,并且能绕开,你的数学成绩一定可以达到一个非常高的层次。 那么所以说呢,我们就可以知道, g x 它是大于 h, x 中上可知 f x 加上 x 的 平方减去八分之二十一, x 再加一,它是大于零 横成力的。那么到此呢,我们就完成了一个证明。那很显然呢,这道题的前一部分,我们根据 e 的 x 次方和这个二次式的范围,直接比出它们的大小。第二部分,当 x 大 于零的时候,我们去构造一个八部天龙中的一部分, 然后利用它们两个最值的大小再去比较。由这道题,同学们要明白一个道理, 有的时候呢,我们没有必要每一个环节都要去构造,如果像这种情况,很显然马上就可以比出大小来,那我们就先去比,对于第二种情况,他们两个是这种状态的时候,那我们再去凹凸反转去比较他们的最值。 接下来我们再来看这道题目,已知函数 f x 第一问,求函数 f x 的 单调区间,求单调区间当然离不了求导,然后解不等式,那所以说呢,我们先对 f x 进行求导, 它是一个分式,先分母平方,然后上导下不导,上导以后是二, x 加 m, 乘上 e 的 x 次方减去,下导上不导,那么下导还是 e 的 x 次方上不导,那就是 x 方加 m, x 再加一, 然后我们约掉一个 e 的 x 方,那就变成了二, x 加 m 减去 x 的 平方减去 m, x 再减一。 我们把分子上整理一下,那是负 x 的 平方,加上二,减 m 倍的 x, 再加上 m 减一。 那所以说呢,分母上是 e 的 x 次方,分子上是负 x 的 平方,加上二,减 m 倍的 x, 再加上 m 减一。 我们先把这个分子上提出一个符号,那是负的 x 方加上 m 减二倍的 x, 再减去 m 再加一。 那么这个分子上能不能一次分解呢?我们来看一下。那么分子上 x 平方的系数,我们把它分解成一一,那么这个常数项,一个是 m 减一,一个是一,因为一次项系数是 m 减二,那很显然这个一,我们给他配上一个符号, 那所以说呢,这个四指它因式分解好以后,那就是 x 减一,与 x 加上 m 减一相乘,我们令导函数等于零,那所以说呢,它有两个根,一个是一,一个是一减 m。 对于二次项系数,我们不需要讨论,那我们要去比较根的大小等,那所以说呢,我们从最简单的两根相等入手,若一减 m 等于一,那也就是 m 等于零时, 那么这个开口向下的抛物线,它有两个等根,那么所以说呢,这个导函数它是小于等于零横乘以, 那么所以说呢, f x 它在 r 上为单调递减。接下来我们看第二种情况,如果一减 m 小 于一, 那也就是 m 大 于零时,那么这个导函数它跟的情况右边是一,左边是一减 m, 那么所以说呢, x 属于负无穷到一减 m 到,函数小于零,那么原函数为减, x 属于一减 m 到一,式到函数大于零, 那所以说 f x 为增, x 属于一到正无穷时,导函数小于零,所以说原函数为减。接下来我们看第三种情况,如果一减 m 大 于一,也就是 m 小 于零的时候, 那么这个时候它对应的左边这个零点是一,右边这个零点是一减 m, 那 么所以说 x 属于负无穷到一倒函数小于零,那么原函数为减, x 属于一到一减 m, 倒函数大于零,那么原函数为正, x 属于一减 m 到正无穷, 导函数小于零,那么圆函数为减。好,到此呢,我们就把这个问题给它讨论完了,那最后同学们在做题目的时候,把上面的情况再把它重新抄一遍,中上可得,那么这里呢,我就不再去写了, 单调性的讨论。在之前我们有专题专门说过,对于未知的系数来说,我们要讨论正负零, 对于不知道大小的根来说,我们要比较大小等,那因为这个系数我们已经确定了,它是负一二次式,它是开口向下的,那所以说呢,我们只需要比较根的大小等就可以了。接下来我们再来看第二问, 当 m 等零时,让我们证明任意 x 大 于零,这个是值成立。那么当 m 等零时, 我们要证的是 e x 的 平方乘上括号中是一加上令 x 再加上 e 的 x 次方分子一,它要大于 e 的 x 次方分子 x 的 平方加一,再减去 x 乘上 f 一 f 一 的话,就是 e 分 之一,加一,那就是 e 分 之二。我们把它整理以后,也就是只要正 e 乘上 x 的 平方,与 e 加上零 x 相乘,它大于 e 的 x 次方分子 x 的 平方减去 e 分 之二 x。 我 们来观察一下不等号两边它的四指的结构, 不等号的左边,它是有一个 x 的 平方,不等号的右边它有 x 的 平方和 x。 很 显然我们可以约掉一个 x。 那 么因为 x 大 于零,所以说呢,我们可以化为,那就是 e 倍的 x 乘上一加上零 x, 它大于 e 的 x 次方分之 x, 再减去 e 分 之二, 我们把它化解到这个程度,我们再来看一下它的凹凸型,那么如果把这个 e x 乘到里面去,它就会得到一个 x 乘上浪 x, 这就是一个钩子,它是下凹型的, 不等号的右边它是一个分母上增加速度快的,所以说呢,它是一个上凸型的,那么这就满足了我们一个凹凸翻转。那接下来呢,我们就需要把不等号的两边给它分别命名。 所以说呢,我们令 g x 等于 e, x 乘以括号一加上零 x h x, 它就等于 e 的 x 次方分之 x 减去 e 分 之二。 接下来的任务就是我们大家非常熟悉的分别求它们两个的对值去比大小。我们先对 g x 求导, 它是前倒后不倒,那是 e 倍的 e 加上 long x, 再加上后倒前不倒,那就是 e x 乘上 x 分 之一, x 约掉以后,那所以说呢,它是 e 倍的 e 加上 long x, 再加上 e, 我们再提取出来 e 以后,把它变成二,加上 lone x, 那 很显然,我们如果令它等于零,那么 x 就是 等于 e 的 负二次方。那么针对于这个 lone x, 它是一个单调递增的函数, 它有一个根,是 e 的 负二之方,那么所以说呢, x 属于零到 e 的 负二之方的时候,这个导函数它是小于零,所以说呢,原函数为减, x 属于 e 的 负二值,方到正无穷的时候,那么这个导函数它是大于零,所以 g x 为增,它先减再增,所以 g x 它就有一个最小值,它是大于等于 e 的 负二。脂肪带进来, 我们来算一下,它是 e 乘上 e 的 负二次方,然后一加上 long e 的 负二次方,那所以说这个结果是负的 e 分 之一。 好,接下来我们的任务是求 h x 的 最大值,所以说呢,将 h x 求到分母先平方,然后上到下不倒减去,下到上不倒,然后约掉以后,就是 e 的 x 次方。负值一减 x, 那么所以说 x 属于零到一的时候,导函数大于零,原函数为增, x 属于一到纵轴的时候,导函数小于零,所以说原函数为减, 先增再减。所以说呢, h x 它就有一个最大值,它就是一所对应的最大值。 我们把它带进来以后,那就是一分之一减去一分之二,这就是负的一分之一。那么这又遇到我们上节课所说的,它的最小值和最大值是相等的,但是呢,这两个极值点并不相等, 那所以说呢,我们要做一说明,因为 g x 与 h x 它的极值点不相等,那么所以说呢,我们就可以得到 g x, 它是大于 h x, 那所以我们的所证它就是成立的。其实呢,我们这节课讲的问题,和上一节课讲的把它化成对数形式,它是一致的,因为我们遇到凹凸翻转的这种函数,它这个式子里面 绝大部分是既有对数又有指数,那所以说呢,我们把它们分离开以后,就会变成一个是对数形式的,一个是指数形式的,那我们上节课讲了,把其中一边换成对数形,那同样另外一边我们就是把它化成指数形, 那所以说呢,同学们理解了上一节课我们的处理的手段,那么对这一节课我们如何去操作,你就应该非常的清楚了。 好,接下来我们再来看这道题目。设函数 f x, 第一问,当 a 等于负二时,让我们求 f x 的 极值, 那么 a 等于负二,那这个函数它就变成了 long x, 减去 x 分 之二,再减 x, 那 我们要求极值的话,就要先求到 long x, 求到那就是 x 分 之一。 x 分 子一,求到以后是加上 x 平方分子一,因为它的分子上是二,那所以说二文保留 x 求到以后是减一,然后我们把它通分,分母上是 x 的 平方,分子上是负 x 的 平方,再加 x 再加二。 我们把分子上给它提取出来一个符号,变成 x 方减 x 再减二,所以说呢,因子分解为 x 减二,与 x 加一相乘, 那所以说呢,它就变为 x 平方分子,负的 x 减二与 x 加一相乘。 分子上,它是一个开口向下的抛物线,它有两根,一个是负一,一个是二。但是呢,我们只研究零到正无穷的范围, 那所以说呢, x 属于零到二的时候,导函数是大于零的,那么原函数为增。 x 属于二到正无穷的时候,导函数小于零, 所以说呢,原函数为减,那么所以说呢, x 等二时,先增再减,所以说 f x 取得了极大值, 那所以说呢,极大值就是 f 二,我们带进来以后就是 long 二减三,那很显然它是没有极小值,所以说呢, f x 它无极小值。 好,第一问我们就解完了,接下来我们来看第二问,当 a 等于一的时候,让我们证明这个式子大于零,在零到正无穷上横成立。 那我们要证 a 等于的话,那就是 long x 加上 x 分 子一,减 x, 再减去 e 的 x 次方分子一加 x 大 于零, 所以我们只要正,把 x 抵消掉以后,那就是 long x 加上 x 分 子一,我们把负 x 和正 x 抵消掉以后,那就是减去 e 的 x 次方分子一大于零。 那很显然呢,我们首先要只对分离,那所以说呢,把 e 的 x 次方移到不等号的一边,那就是 long x 次方分子一,它大于 e 的 x 次方分子一。 那我们来看一下这个四指的右边,它是一个单调的,所以说呢,我们必须把它进行变形,变成一个上凸或者是下凹的,同样对于右边的 low x 也是一个单调的, 所以说呢,我们两边同时乘以 x, 那 就是把它变成 x, 乘以浪 x 加一大于 e 的 x 次方分子 x。 那 么很显然, x 乘上浪 x, 它是一个勾子,它是下凹的。 e 的 x 次方分子 x, 它是分母增加的快,所以说呢,它是一个上凸的。现在这个结构就是满足了我们的要求, 那么接下来我们的任务就是把他们两个分别命名去求最值。所以说呢,我们令距 x 等于 x 乘上零 x 再加 e h x 等于 e 的 x 次方分子 x。 那 么接下来的过程呢,我们仍然是不再去求导求最值了,我们把我们必须要掌握的天龙八部再来看一下,直接得出他们的最值去比大小 不等号的左边,它是 x 乘上浪 x 再加一,所以说呢,它的最小值就是负的 e 分 之一再加一,不等号的右边,它是 e 的 x 次方分之 x, 那 因此呢,它的最大值就是 e, 所对应的,那就是 e 分 之一。 所以说呢,我们只需要比较负的一分之一加一和一分之一的大小。只要同学们脑子里面有这几个函数的图像,以及他们所对应的最值, 你就可以直接眼睛看到这个问题的最终结果。那所以说呢,你就按部就班的把过程给他写完整,你就可以非常完美的拿到满分了。这就是为什么我强调同学们要把这几个函数图像记下来的原因, 你就可以大大地减少你对这个问题的恐惧程度。我们直接写出来 g x, 它是大于等于负的一分之一加一 h x, 它是小于等于一分之一, 那么因为负的一分之一再加一,他是大于一分之一,那么其实就是一他大于一分之二,也就是一他是大于二的。同学们呢,如果明白了这个道理,没有必要写的这么细致, 那么所以说呢,我们就得到了 g x, 它是大于 h x, 那 所以说呢,我们的所证成立。好,这样的话呢,我们就完成了一个凹凸翻转的证明过程, 我们这节课讲的把它化成指数型,其实呢,它离不开把它化成对数型,跟我们上一节课讲化成对数型其中一部分,它一定是化成指数型,那所以呢,这两部分它是密不可分的, 总的来说呢,就是我们要把它们化成天龙八部中的某一个,然后再去求它们的对值去比大小。 同学们理解了我们这样一个底层的逻辑以后,你就可以有一个目标方向,朝着这个目标方向去化解,然后去求对值比大小就可以了。 希望通过这两节课的讲解,同学们能理解我们这样一个操作的过程。在以后解析的时候,如果你碰到四指中既有指数又有对数, 你就可以按这样一个方式,先去尝试一下,看看是不是能经过凹凸翻转去比较它们最值的大小。如果可以用,那么这个题目将变得非常的简单, 那希望同学们呢,在以后答题的过程中,能掌握这样一个处理的手段。好,那这节课的内容呢,我们就先讲到这里,同学们再见。

同学们好,这节课我们来上高中数学选修二导数的第三十六节课,凹凸翻转的第四节。这节课我们来学习如何利用凹凸翻转来求参数的曲子范围。 我们利用凹凸翻转求参数的曲子范围。在之前我们学必要线探路的时候,我们已经介绍过如何取点探路 这节课呢,我们就是在凹凸翻转的基础上,结合取点探路来求参数的取值范围。我们先把两个函数变成一个是下凹,一个是上凸的,我们先确定他们两个的位置关系, 就是他们两个相切的时候,可以满足一个函数,它大于等于另外一个函数横乘的, 我们求出它们相切时对应的参数的值,然后再结合参数变化时两个函数图像的变化情况来确定下来这个参数值的范围。 如果他们两个切于点屁,那此时呢,满足的条件就是对应的函数值相等,并且这两点处对应的导数值也相等。我们通过解这个方程组就可以求出来他们相切时对应的参数的值, 然后再利用参数变化时两函数图像如何改变,从而确定下来参数的曲子范围。那么接下来呢,我们用几道题目给同学们演示如何利用凹凸翻转,再利用它们相切来确定参数的曲子范围。 我们来看历时已知两个函数 f x 和 g x, 若函数 f x 的 图像与函数 g x 的 图像有两个焦点,则实数 a 的 取之范围是 有两个焦点和没有焦点,它们的分界线就是一个相切的状态。那所以说呢,我们先来看一下这两个函数它的凹凸的情况, f x 是 x 乘上 e 的 x 次方,它是八步天龙里面的第一个,它是一个下欧的函数, x 分 之零 x, 它的分母是 x, 那 么它的增加的速度比分子上的零 x 增加的速度快,那所以说呢,它是一个上凸的形式, 那么这两个函数已经具备了一个下凹和上凸的形式了。那么接下来呢,我们只需要研究它们两个相切时 a 的 值就可以。 我们假设它们相切时节点的坐标是 x 零 y 零,那么此时就会列出来两个方程, 这是它们的函数值相等,然后我们对它们分别求导 f x 求了导以后,那就是 x 加一倍的 e 的 x 次方,那所以就是 x 零加上一,再与 e 的 x 零次方相乘, x 分 值 long x 求倒,那下面是平方,上面是上倒下不倒,然后再减去下倒上不倒。那所以说呢,它这个四值的值,那就是常数 a 和常数二,我们都把它抄下来, 然后分母上是 x 零的平方,分子上是一减去 lone x 零。然后我们两式相除,等号的左边是 x 零,加一分子 x 零,等号的右边 a 约掉以后,是一加上 x 零,分子两倍的 lone x 零,那么分母上是两倍的 x 零的平方,分子一减去 lone x 零, 我们把右边上下同时乘以 x 零的平方,那就变成了两倍的一减去零。 x 零,那分子上就是 x 零的平方,加上二 x 零乘以零 x 零,这个分子上的 x 零和这个 x 零可以约掉, 然后我们再交叉相乘。所以说呢,两倍的一减去 long x 零,它就等于 x 零加一,与 x 零加上两倍的 long x 零相乘, 这个去括号以后是 x 零的平方,加上两倍的 x 零,乘以 long x 零,再加 x 零,再加两倍的 long x 零, 那接下来呢,我们把它们再移向移到一起 x 零的平方,加 x 零,再减二,加上二, x 零乘以 long x 零,再加上四倍的 long x 零等于零。 前面这个因子分解成 x 加二,与 x 零减一相乘,后面我们提出来两倍的 long x 零变成了一个 x 零加二,然后它等于零。 我们对这个式子的前后两部分因式分解,前面分解出来是 x 零加二,与 x 零减一相乘, 后面提出共音式来,剩下来的是 x 零加二,再提取共音式 x 零加二,我们提出来,剩下来的是 x 零减一,再加上两倍的 long x 零, 因为 x 零它是大于零的,那所以说呢, x 零加二,它就大于二,那所以说呢,只能是 x 零减一,加上两倍的零, x 零等于零, 那所以说呢,我们解出来这个就是 x 零等于一。好,接下来呢,我们把 x 零等一代入其中一个式子,所以说呢,对应的 a 的 值,那 a 的 值就是 e, 此时他们两个是相切的状态,那如果想有两个焦点,这个函数左边的函数他是一个下凹的, 右边这个函数他是一个上凸的,要想有两个焦点,那这个 a 的 值应该变大才行,那因为有两焦点,那所以说呢, a 他 要大于 e 才满足,那所以说呢,这个答案就是选 c。 如果同学们对我们必要性探路那里取点探路的方法比较熟悉的话,那么这个答题的过程同学们就是不陌生的。 如果是解答题的话,我们得出来 a 大 于等于 e, 然后利用 a 的 值对他进行放缩,然后再去证明他们两个在 a 大 于 e 的 时候有两个焦点,因为他是选择题,那我们就不需要再严格的证明了。 我们再来看这道题目。已知函数 f x, 它有两个零点,让求 a 的 取值范围,那我们先定 f x 等于零,那就是 a 乘上 e 的 二 x 方,加上 a 减二,乘上 e 的 x 方,再减 x, 它等于零,有两个零点。那么这个时候呢,我们要分离出来一部分,把它变成一个凸函数和一个凹函数。 我们把 x 移到等号的右边去,就 a 乘上 e 的 二 x 次方,加上 a 减二,乘以 e 的 x 次方等于 x, 两边再同时除以 e 的 x 次方,所以说 a 乘上 e 的 x 次方,它再加上 a 减二,等于 e 的 x 次方。分子 x。 因为条件中要求 a 大 于零,那所以左边的这个函数,它是一个单调递增的等号,右边的这个函数,它的分母跑得快, 所以说呢,它是一个上凸的函数。如果他们两个要有两个焦点,我们仍然先确定他们两个相切时对应的这个 a 的 值,然后再去看 a 的 大小变化。 那我们令左边的为 g x, 但是 a 乘上 e 的 x 次方,加上 a 减二,右边的为 h x, 它是等于 e 的 x 次方分子 x, 我 们令它们趋于减 p x 零 y, 那 所以 a 乘上 e 的 x 零次方,加上 a 减二,它就等于 e 的 x 零次方,分之 x 零 g x 求导以后就是 a 乘上 e 的 x 零次方 h x 求导是分母先平方上导下不导,减去下导上不导,那余了以后,所以说呢,它是 e 的 x 零次方分子, e 减去 x 零, 那所以说呢,由第二个式子我们就可以得出来, a 它就是等于 e 的 x 零次方,括号的平方,分子上是一减去 x 零,然后代入第一个式子,就是 e 的 x 零次方,分子上是一减去 x 零,加上 e 的 x 零次方,括号的平方,分子上是一减去 x 零,再减二,等于 e 的 x 零次方分子 x 零, 我们先去分母变成一减去 x 零,乘上 e 的 x 零次方,加上一减去 x 零,减去两倍的 e 的 x 零次方的平方,等于 x 零乘上 e 的 x 零次方, 我们把含有 e 的 x 零次方的给它放在一起,两倍的 e 的 x 零次方括号的平方,把这个 x 零乘上 e 的 x 零次方,给它移到等号的右边,那所以说呢,是加上二 x 零乘上 e 的 x 零次方, 把这个 e 的 x 零次方给它移到一边去,是减去 e 的 x 零,再加 x 零,再减一,等于零。 那我们怎么去解这个方程呢?那么这个时候呢,我们就需要去猜它的根,因为对于 e 的 x 零次方,我们来猜一下,当 x 零取到零的时候,那我们用 x 零等于零带进来,那么就是二加上零,然后再减一,再加零,再减一,等于零, 那么很显然零就是它的一个根。那么我们得出来 s 零以后,那我们来代入其中一个式子,来看看对应的 a 的 值是多少,我们发现这个 a 的 值它是等于一, 此时它们是相切的状态,那所以说呢,这个选项 b 它肯定是不对的,那然后 a 的 值应该是变大还是变小呢?如果 a 变大的话,那么这个函数它就是一个往上移的状态, 那他就和这个函数不会有交点了。所以呢,两图像有两个交点时,这个 a 他 应该是属于零到一。那因此呢,这道题的答案就是选 a, 那 我们仍然是不去严格的再去证明,同学们知道,根据 a 的 变化来分析函数图像的变化就可以了。 好,接下来我们再看这道题目。若这个四指小于等于零,在 x 大 于零的时候横成立,让我们求正实数 m 的 取的范围, 我们仍然是把这个四指去移上移一下,那我们保留下来带 e 的 x 次方的,那就是 e 的 x 次方乘以零 x 减去 e 的 x 次方乘以 x, 它小于等于 负 m, x 的 平方减 x, 再减 m, 然后两边再同时除以 e 的 x 次方。所以说棱 x 减 x, 它就小于等于 e 的 x 次方。分子上是负 m, x 的 平方减 x 再减 m。 因为右边有符号,所以说呢,我们把两边再同时乘以负一,则 e 的 x 四方分子 m x 的 平方加 x, 再加 m, 它小于等于 x, 减去零 x, x 减去零 x。 我 们求导求一下,是一减去 x 分 子一,那是 x 分 子 x 减一, x 小 于一的时候是减 x 大 于的时候乘, 那么它是一个下凹的。对于这个式子,分母上它是指数是增加的快,那很显然呢,它是一个上凸的。好,到此呢,我们就完成了凹凸翻转。 然后我们令 f x 等于不等号的左边 h x, 它等于 x, 减去 long x。 我们假设两图像切于点 p x 零 y, 那 么这个时候,首先是函数值相等, e 的 x 零次方,分子上是 mx 零的平方,加上 x 零再加 m, 它要等于 x 零减去零 x 零, 然后切点处的切线斜率相等,我们把左边来求下到 e 的 x 零次方的平方, 上到下不等,那就是二 m x 零加一,乘以 e 的 x 零次方减去,下到上不等,那就是 m x 零的平方,加 x 零,再加 m, 约掉一个 e 的 x 零次方,那所以左边是 e 的 x 零次方分子上是负 m x 零的平方, 加上二 m 减一,乘以 x 零,再加上一减 m, 右边求导,那就是一减去 x 零分子一。 这个式子呢,我们如果是将除硝盐的话,肯定是非常复杂,那么这个时候我们来看一下这个求导以后的分子上,我们能不能对它进行因子分解。 我们提取出来符号,那么它是 m x 零的平方,再减去二, m 减一,乘以 x 零,再加上 m 减一,等号的右边,那就是 x 零分子 x 零减一, 二次项系数是 m, 那 么常数项 m 减一,那我们给它分解成 m 减一和一,因为中间是负的,那所以呢,分解出来这两项都是负的, 所以说等号左边,我们就可以把它因子分解成负的 x 零减一,与 m 倍的 x 零减去 m 减一相乘,它等于 x 零分子 x 零减一。 这个时候呢,我们可以看到左右两边有一个公因式,那所以说呢, x 零等于一,他就是这个等零的根,那么对于这个式子呢,他还有一个根, 它的这个根的位置就是对 f x 的 另外一个极值的情况,那所以说呢,我们令 f x 的 导函数等零,那我们得出来有两根,一个是一,那么另外一个呢,就是 m 分 子 m 再减一,那就是一减去 m 分 子一, 因为我们研究的 m 是 正负数,那么所以说呢,一减去 m 分 子一,它是小于一的。 对于 f x 的 导函数,它是一个开口向下的抛线,它有一个零点是一,另外一个是一减去 m 分 之一, 那所以说呢,它在一减去 m 分 之一到一之间,这个导函数是大于零。在一到正无穷上,导函数是小于零的,那所以说呢,这个函数它在一处对应了一个极大值点, 那么但是呢,这个一减去 m, 它是不是对应另外一个极点?我们还需要对一减 m 的 范围进行讨论,它看看能不能落在定域的内部。 那么接下来呢,我们就需要对 m 的 范围进行讨论,如果 m 的 范围它是零到一的时候,那么这个时候呢,一减去 m 分 子一,它是小于等于零,那么这个时候呢,零在这里, 那么所以说 x 属于零到一, f x 的 导函数,它是大于零, x 属于一到众无穷。 f x 的 导函数小于零,那么在开区间里面,它有唯一的极值,那这个极值就是它的最大值,那所以说呢, f x 它是小于等于 f 一。 我们把一带进来以后,让我们来看一下它对应的值,那就是 e 分 之二 m 加一, 对于 h x 来说,它在一处取到最小值,那么因为 h x, 它的最小值是等于 h 一, 我们带进来是等于一, 它要想小于等于它横乘以,那所以说呢,一分之二 m 加一,它要小于等于一,那所以说呢,解出来 m, 它是小于等于二分之一减一。 接下来我们看第二种情况,当 m 大 于一的时候,那么这个时候呢,一减去 m 分 子一,它就大于零,所以说呢,在零到一减去 m 分 子一导函数小于零,一减去 m 分 子一到一导函数大于零, 一到纵轴导函数又小于零,那所以说呢,这个 f x 它是先减再增再减。 我们再来看此时的 f 一 它所对应的值,这个 e 分 之二 m 加一,它很显然它是大于一的,那么这个一它同时也是 h 一 所对应的值,那显然呢,这个时候它是不成立 这个函数,它先减再增再减,在一处所对应的值,它比 h x 对 的值要大,那所以说呢,这时候它就不满足, 那最后我们中上可知 m 它的范围,我把它写到上面,它的范围那就是零到二分之一减一,那么这就是我们最终所求出来的结果。 那么这个问题呢,它的复杂之处就是它有两个极值点的时候,我们如何去讨论它对应的这个极值的大小的情况? 如果 f x 先增再减,他在一处对应最大值,那么这个最大值他就要小于等于 h x 的 最小值。那么这个问题呢,他们两个的极值恰好在同一个地方取到, 那么这种状态就是一个最佳的状态。那如果 e 减去 m 也在这个 x 大 于零的范围内的时候,那我们仍然要去看 f x 的 单调的情况, 并且呢,此时 e 所对应的这个极大值,他已经超出了 h x 的 最小值,那所以说呢,这种情况他是不满足的,那最终我们就得到了这样一个 m 的 范围。 好,那这节课内容呢,我们到这里就结束,我们用三道题结合着凹凸翻转,又重新把必要性探路中的取点探路进行了整合。那同学们呢,如果在求参数取值范围的时候, 你去看一下,如果你发现经过一项以后,可以把它变成一个凹凸翻转的形式,那我们也可以采取先确定他们相切的边界,然后再确定参数的取值范围,那这样的话呢,我们的计算量就会减少很多。 好到此呢,凹凸翻转的内容我们就讲完了,希望同学们结合这四节课,把我们凹凸翻转的最根本的底层逻辑理解清楚, 他在解析的时候如何瞄着八部天龙中的形式进行变换,然后如何去比较大小证明不等式, 如何先放缩再翻转,还有如何利用相切的这个边界状态,我们去取点探路,希望同学们能把这个问题理解透,能应用于平时的解析中。好,这节课内容呢,我们就讲到这里,同学们再见。

单变量横乘以中的凹凸反转,你学会了吗?学会了这个解决方法,你一定是个学霸,因为有很多老师甚至都不知道该在什么情况下去使用这个解决方法。 其实这个解决方法非常简单,你只需要记住这六个常用函数图像就可以了,因为这六个函数我们称之为六大常用函数,它是具有凹凸性的啊。比如说像这个题, 那么我们一看这个题就很明显的发现这里面具有两个凹凸性的啊,比如说像这个题,那么我们一看这个题就很明显的一个 x 乘以 x 乘以 x, 然后的话,我们只需要把这两个函数分别放在它的不等号的一个两边,然后分别设成两个函数,一个函数的话是 g x, 然后一个函数的话是 h x, 然后设完这两个函数之后,我们分别去解对值 g x 这个函数的话,我们只需要解一个最大值, h x 这个函数的话,分别去解一个最小值就可以了。当然了,刚才我们已经看到函数图像了, 这个函数图像的话,我们可以帮大家稍微画一下,一个是 x 除以一个 e 的 x 方的,然后这个奇数点是一,然后这是个一分之一,对吧?然后 x 乘以 x 的 这个图像就更简单了,图像是这个样子画的, 然后这个提示点的话,然后这是一,然后这是个一分之一,所以的话很明显的它是等一个负的一分之一的,所以这个时候的话,你就很明显通过这个图像你就能知道 g x 这个函数它的一个最大值的一个情况,对不对?这里面读了个 e, 所以 它这个等于再乘以一分之一,它等于一的。而这边 h x 最小值的情况等于多少?二减去一分之一,所以很明显 g x 它的一个最大值是不是都会比 h x 它的一个最小值都小?所以我们就得正了,所以,然后得正好同学们,你们学会了吗?

同学们好,这一节课我们来上高中数学选修二导数的第三十五节课,导数答题策略之凹凸翻转的第三节。今天我们重点来讲解,先放说再证明。 在前面解析的过程中,我们已经讲到过放说,同学们也应该能体会到放说,他的技巧性非常强, 应用起来比较难。这一节课呢,我们把这个放缩与凹凸翻转向结合来看一下题目会是什么样的一种形式呈现。 接下来我们讲三道题目,这三道题目它就代表了三种不同的放说的方案。 第一种,利用切线放缩,我们把式子中的超越式,利用切线对它进行放缩,使得超越式的个数减少, 超越式的个数少了以后,我们证明起来就会简单。第二种,我们取特殊值放缩。如果我们所证明的式中有自变量 x, 还有另外的参数,那么这个时候呢,我们就可以把参数给它取到最大或者是最小。 把参数起到最大和最小以后,这个式子就只变成了含有 x 的 一个式子,我们证明起来就会很简单。那么第三种情况呢,我们也可以利用最值放缩, 如果一个四值我们可以求出来它的最值,那么这个时候呢,我们可以把这个最值给他带进来,也可以减少四值的复杂程度,那么接下来就会有利于我们进行证明。好,那接下来呢,我们来看几个具体的题目, 我们来看例题,已知函数 f x, 若 a 的 范围是零到一,让我们证明 f x 小 于 e 的 x 再加一, 我们要证 a x 乘上零 x 加上 x 的 平方,它小于 e 的 x 次方减去三 x 再加 e, 我们会发现这个式子中他有对数,有指数,还有三角函数,我们所要掌握的八步天龙里面,他是没有三角函数的。所以说呢,我们必须把散引处理掉,才能有利于我们凹凸翻转, 因为 x 大 于零时, c x 它是小于 x 的, 这个 c x 小 于 x, 同学们看一下图像就可以知道,当 x 大 于零的时候,正弦在圆点处的切线就是 y 等于 x, 那随着 x 的 增大,那么这个在内 x 它所有的值都比 x 小。 如果是考试的时候,同学们可以自己通过作差证明一下,这里呢,我们就把证明的过程给省掉了。 那么所以说呢,我们只要证 a, x 乘上绕 x 加上 x 的 平方减 x 再加 e, 我们把减的这一个给他变大,那所以说呢,这个柿子的值他就是变小,你变小了以后还比他大,那肯定他就是满足的 好。接下来我们再来看这个柿子中还有一个变量 a, 那 所以说呢,我们根据 a 的 范围仍然是把 a 取到最大, 因为零小于 a 小 于等于一,所以说呢,我们只要证,当 a 取到一的时候,那就是 x 乘上绕 x 加 x 的 平方小于 e 的 x 次方减 x 再加一, 我们把系数取到最大,这个时候对应的柿子的值也是取到最大,如果他取到最大了,比这个柿子还小,所以说呢,他一定是满足的好。经过放缩以后,我们接下来要对这个柿子进行凹凸翻转。 由前面的经验我们知道,这个式子呢,我们要把它变成一个分式的结构,所以说呢,两边同时除以 x 平方,那就是 x 分 之零, x 再加一,它小于 x 的 平方分子 e 的 x 次方减 x 再加一。这一个市值是分母跑得快,所以说呢,它是一个上凸的形式,这一个市值是分子跑得快,那所以说呢,它是一个下凹的形式, 那因此呢,我们分别去求他们两个的几值就可以了,然后给他们分别命上名字,令 g x 等于 x, 分 子 long x 再加一。 h x 等于 x 的 平方分子 e 的 x 次方减 x 再加一。 我们先对 g x 求导分母平方,然后上导下不导,那就是一减去下导上不导,那就是零。 x, 那 就是 x 的 平方分子一减去零, x, x 属于零,到 e 的 时候,导函数大于零,所以说 g x 为增, x 属于 e, 到正无穷的时候,导函数小于零,那么 g x 为减。 这也是我们刚才判断的分母跑得快,它是一个先增再减的一个上凸的形式,那所以说这个 g x, 它就小于等于 e 所对应的值。我们把它带进来以后,那就是 e 分 之一,再加一。 接下来我们对 h x 求导分母先平方,那是 x 的 四次方,然后上导下不导。分子求导是 e 的 x 次方减一,减去下导上不导,那是 e 的 x 次方减 x 再加一, 上下约掉一个 x, 那 就是 x 乘上 e 的 x 次方减 x, 再减去两倍的 e 的 x 次方加上二, x 减二。 分子上整理一下 e 的 x 次方,提出来有一个 x 减二,然后再加上 x 减二,那所以说再提取公式,分母上是 x 的 三次方,分子上是 x 减二,与 e 的 x 次方加一相乘, 所以说 x 属于零到二的时候,导函数小于零,那么原函数为减, x 属于二到正无穷的时候,导函数大于零,原函数为增,它是先减再增,那所以说呢,它是下凹的, 所以说呢, h x 它就大于等于二所对应的函数值。我们把它代进来以后,那就是四分之一的平方再减一, 那么这个值他和一分之一加一的大小关系是什么呢?一的平方,他约等于七点三九, 就是七点三九,他再减一,那就是六点三九,然后除以四,他约等于一点六,一分之一,他肯定是小于二分之一的,所以说呢,一分之一加一,他是小于一点五,因此呢,这个值他是大于一分之一加一, 它的最小值比它的最大值还大,所以说呢, g x 它小于 h x, 那 所以说呢,我们的所证成立。 那么这道题呢,我们又用到的两个放缩,第一个切线放缩,第二个取值放缩, 把这个参数给他取到最值,使得这个四值也变到最大,拿他的最大值去比,他如果还小于,那所以说呢,不放松的时候,他仍然是小于。 那后面的凹凸翻转,同学们如果知道八步天龙的话,我们就瞄着这个八步天龙的主体结构区就可以了, 因为这个 lo x 是 增加的最慢的, e 的 x 四方是增加的最快的,所以说呢,我们要把它们变成一个分式,这个分母上就是一个逆函数的形式,逆函数增加的速度处于它们两个中间,那么这样就完成了凹凸翻转。 好,接下来我们再看这道题目,已知函数 f x 的 单调性讨论单调性就是看它导函数的正负情况, 那所以说呢,我们先对 f x 求导,绕 x 求导,那是 x 分 之一,所以说它是 x 分 之 a, x 求导以后是一 x 分 之二求导,那是减去 x 的 平方分之二。 然后我们把它通分一下,分母上是 x 的 平方,分子上是 x 方减 a, 它加上 ax 再减二, 那么显然这个 x 它是大于零的。我们令分子上 x 的 平方加上 a, x 减二等于零,因为它的德塔等于 a 方加八大于零,那所以说呢,它是有两个根的, 那因此呢, x 方加 a, x 减二等于零,有两根,那我们给它起上名字,一个是 x 一, 一个是 x 二, 那又因为 x 一 加上 x 二等于负 a, x 一 乘以 x 二等于负二小于零,那么两根之积小于零,所以说呢,就会有一个正根和一个负根。 我们不妨设 x 一 小, x 二大,那因此呢,就会有 x 一 在零的左边, x 二在零的右边。 那么所以说呢,我们取 x 一, 它是二分之负, a 减根号下 a 方加上八,它是小于零。 x 二,它是等于二分之负, a 加上根号下 a 方减八,它是大于零。 那所以说呢, x 属于零到二分之负, a 加上根号下 a 方减八,导函数它是小于零, 那所以说 f x 为减, x 属于二分之负, a 加上根号下 a 方减八。到正无穷的时候,导函数大于零,那么原函数为增。 好,那到此呢,我们就把它的单调性讨论清楚了。接下来我们看第二问,若 a 的 范围是零到四分之一,让我们证明 f x 小 于这个式子。 我们要证的式子,那就是 a 乘上零, x 加 x, 再加上 x 分 之二,再加二 a 小 于 x, 加上 x 分 之 e 的 x 次方再加。 和刚才一样,这个四指中既有自变量 x, 又有常数 a, 所以 说呢,我们要对这个常数 a 取值放缩, 因为 a 的 范围是零到四分之一。那么所以说呢,我们只要正, 我们把这个四指中能抵消掉的项先给它抵消掉, x 可以 抵消掉, x 分 之二也可以抵消掉。 那么所以说呢,我们只要挣四分之 e 乘上 lo x, 再加上二分之 e, 它小于 x 分 之 e 的 x 次方即可。 由此呢,我们可以看到不等号的右边,它已经是一个下凹的函数了,那不等号的左边,它是一个单调函数,那所以说呢,我们要对它进行凹凸翻转,那很显然,两边要同时除以个 x g 只要正四分之一,我们提出来,那就是 x 分 之 long x 再加二,它小于 x 的 平方分之 e 的 x 次方。 完成了凹凸反转以后,接下来我们给它命名令 g x 等于四分之一,乘上 x 分 之 long x, 再加二 h x 等于 x 的 平方,分值 e 的 x 次方。那么接下来的过程呢,我这里就不再详细的去写了,我们简单的草稿打一下,看看它的最值是多少。 先对分子上求到,那就是 x 分 之一乘以 x 减去分母上求到,那就是 long x, 那 分子上就是一减去 long x, 所以 说呢,它在 e 处取到最值。那么所以说呢, g x 它是小于等于 g e, 那 我们把它带进来,就是四分之一乘上一分之一,加二是三,那所以说呢,这个值是四分之三。 同样,我们对 h x 求导分母线平方,然后上导下不导减去下导上不导,约掉一个 x 以后,提取出来 e 的 x 次方,那就变成了 x 减二, 所以说 h x 它是大于等于二,所对应的函数值,那就是四分之一方,显然呢,它是大于四分之三。那么所以说呢,我们就可以知道 g x 它是小于 h x, 那所以说呢,原式得正。同学们在做题的时候,只要把 g x 和 h x 他 们最小值的求解过程写上去就可以了,那这里呢,我们为了节省时间,就不再写具体的过程了。 那么这道题呢,它就是一个参数取值的一个放缩,我们把它取到最大,然后让他去和另外一个四去比较 好。接下来我们再看这道题目,已知函数 f x, 其中 a 为参数。第一问,求 f x 的 极值, 那么求极值呢?我们要先求导,所以说呢,对 f x 求导前导后不导,再加上后导前不导,再减 a, 然后令导函数等于零。那所以说呢,我们可以得出来 x 它是等于 e 的 a 减一次方。 我们来画一下这个导函数的图像,他有一个零点,那就是 e 的 a 减一次方,那所以说, x 属于零,到 e 的 a 减一次方的时候,导函数小于零, 那么原函数为减, x 属于 e 的 a 减一次方,到纵轴的时候,导函数为增。那所以说呢,这个原函数是先减再增, 所以 f x, 它在 x 等于 e 的 a 减一次方处 先减再增,那就取到了极小值。那所以说呢,这个 f x 它的极小值,那就是 f e 的 a 减一次方,那我们把它代进来, a 的 e 的 a 减一次方, 再乘上零, e 的 a 减一次方,再减去 a, 乘上 e 的 a 减一次方, 那就是 e 的 a 减一次方。乘上 a 减一,再减去 a, 乘上 e 的 a 减一次方,那么去掉括号以后,它的值等于负的 e 的 a 减一次方。在开区间内唯一的这个极小值,其实就是它的最小值。好,接下来我们看第二问, 设 g x 等这个形式让我们证明,当 x 属于零到正无穷的时候, g x 小 于一。 我们先把这个四值旁边打一下草稿, x 乘上一的 x 次方分子 x 减一,减去零 x, 再减去 x 乘上一方分子二小于一, 我们把它移上,移一下, x 乘上 e 的 x 次方分子 x 减一,减, x 乘上 e 方分之二小于 long x 两边再同时乘以 x, e 的 x 次方分子 x 减一,减去 e 方分子二小于 x, 乘以 long x, 它小于零, x 加一,我们两边再同时乘以 x, 那 就变成了一的 x。 次方分子 x 减一,减去一方分子二,它小于 x, 乘以零 x 再加 x。 那 么现在这个函数它是一个下凹的函数,那么这个函数呢?它是一个上凸的函数,那我们就可以去求它们两个的最值了。 我们先来看右边这个式子,我们对它进行求导,它是前导后不导,加上后导前不导,然后再加一,那所以呢,令它等于零,那么这个 x 就 等于 e 的 负二之方, 那所以说呢,这个函数它的最小值,我们可以把它求出来,那同样,左边的最小值,我们也可以把它求出来,那么这样的话呢,它就是一个标准的凹凸翻转去求最值。 那么接下来呢,我们把这个分析的过程再整理一遍,我们要证 x 乘上 e 的 x 次方分子 x 减一,减去 long x 再减 x 乘上 e 方分子二小于一。 我们只要证 e 的 x 次方分子 x 减一,减去 e 方,分子二小于 x 乘上 long x 加 x, 然后我们令 g x 等于 e 的 x 次方分子 x 减一,再减去一方分子二。 h x 等于 x 乘以绕 x 再加 x。 那 么接下来呢?仍然是求导求对值的过程,我们把它在旁边打下草稿,具体的详细过程我就不再写了。 g x 求导,那是分母先平方,然后是上导下不导,减去下导上不导,然后约掉一个 e 的 x 次方,变成一减 x 再加 e, 那 所以说它是 e 的 x 次方分子二减 x, 那所以它是一个先增再减,在二处取到了最大值,它小于等于二带进来,那就是 e 的 平方分之一。减去 e 的 平方分之二,那么就是负的 e 的 平方分之一。 那么对 h x 求导,那就是前导后不导,加上后导前不导 x 再求导,那就是零。 x 加二等于零,所以当 x 等于 e 的 负二次方的时候,取到它的最小值, 那所以 h x 它大于等于 h e 的 负二次方, e 的 负二次方乘以负二,再加上 e 的 负二次方, 所以说就等于负的 e 的 平方分之 e, 那 么所以说呢? g x 它就小于等于 h x, 又因为两函数的极值点不相同,那么所以说呢?是 g x 小 于 h x, 那 所以说呢?原式得正。 我们都已经把题目做出来了,同学们还没有看到放缩,那么这个题目里面,我们怎么着采取放缩的形式呢?我们来看一下我们变形得到的这个式子, 它和已知的这个 f x 有 什么联系呢?我们发现,如果让 f x 中的 a 等于负一,它得到的就是这个式子。 因此呢,我们的放说法就是令 a 等于负一,所以说呢, f x 就是 等于 x 乘以零 x 再加 x, 那 所以说呢, f x 的 最小值就是 f e 的 负二次方,我们把它带进来以后,就是负的 e 的 平方分之一。 那所以说呢,我们只要证 e 的 x 次方分子 x 减一,再减去 e 方分子二,它小于负的 e 方分子一即可。 那么由刚才解的过程,那 g x 它这个函数的值,它就是小于负的 e 方分子一。 由我们刚才的解的过程,我们可以知道, g x 的 值,它就是小于等于负的一方分之一,还是一样,他们两个的极致点不同,等号取不到。那所以说呢,我们通过这个放缩也可以得到它的最后结果。 接下来的证明过程呢,我们就把它略掉了,同学们知道去求最值比大小就可以了,那么我们是看着这一个形式和 f x 之间的关系, 去用它的最值进行放缩。其实这种情况呢,我们在解题的过程中,他出现的可能性可能比期限放缩要小的多。但是呢,在之前我们在讲题的时候说过,同学们在做题的过程中, 要边做边观察边思考,你如果知道令 a 等于负一,就可以得到它的最小值了,那你这一步再去求导求最值的过程就可以省掉了。 那所以说呢,他也是我们在解析的时候,利用已知的结论进行解析的一种思维方式。 那好,这节课内容呢,我们就讲完了,我们这节课主要是讲的把四指先放缩,再翻转再证明。那么我们提到了前面我们已经用过的几种放说的方式,切线放缩, 取参数的最值进行放缩,或者是利用一个四指它的最值进行放缩,这样的话呢,我们就可以减少我们的计算量,减少我们分类讨论的成分,使得解析就会变得很简单。那好,这节课内容呢,我们就讲到这里,同学们再见。

凹凸反转求范围呐,要相信自己啊,要加油啊!凹凸反转主要解决较复杂的恒成立问题, 其本质将所求的不等式转化为两个函数,利用左边函数的这一小值 大于右边函数的最大值。蓝点在于如何构造两个函数,需要熟记一些常见函数,比如说 e x 减去 x, e x 呢?除以 x 或者说 x 乘以 e x, 还有常用的落音 x 减去 x, x 分之落音 x, 或者说 x 乘以落音 x, 以及变形都可用。将 f x 替换成一的 x 减去 x 减去一。观察函数的形式,这里出现了倍数函数,我们利用倍数单身狗先放到一侧,从而得到一的 x 加上二, x 减去一,减去 x 平方大于一的平方 loy x 出现落音 x 之后,我们想到基本模型, x 分之落音 x, 两边同时出现 x, 化解之后得到 x 分之一, x 减一,减去 x 平方,加上二大于 x 分之一的平方,乘以落音 x。 该整体我记做 g x, 该部分记做 h x, 从而得到 g x。 函数等于 x 分之 e, x 减去 x 平方 减去一,加上二。对该函数求导,等于 x 平方上面等于 x 减一,乘以一, x 减去 x 减一。 当 x 大于零的时候,我们知道 ex 减去 x 减一总是大于零,从而当导数大于零的时候得到 x 大于一。当鸡 x 小于零的时候,得到 x 大于零小于一, 从而得到 gx。 在零到一之间单调递减,一到正无穷单调递增, gx 取得最小值,最小值在一中得到带入之后等于一分之一减去二,加上二等于一。 h x 的表达是等于 x 分之一的平方乘以落音 x。 对于该函数求导之后等于 x。 平方分之一的平方乘以一减去落音 x。 当导数大于零的时候,得到 x 大于零小于一。当导数小于零的时候,得到 x 大于一,从而得到 h x 在零到一之间单调递增,一到正物穷单调递减 h x 存在一个最大值, 最大值在一取得代入之后等于一分之一的平方乘以乱一化减之后等于一。发现 gx 的最小值和 h x 的最大值一样都是一,但是两者区等条件不同,所以这里取大于号,该结论成立。若关于 x 方程有十数根,一般转换为两个函数。焦点问题, 在转化函数的时候,我们一定要结合题目中所给的函数出现一加落眼 x 除以 x, 那么左边呢?我们就可以写成一加上落眼 x 除以 x, 右边化减之后等于一的 x 减去一,乘以 x 加上可以, 那么左边就是 f x, 右边呢?记做 g x 对 f x 求导之后等于 x。 平方负的落影 x, 当导数大于零的时候,得到负的落 x 大于零,从而得到 x 大于零小于一。当导数小于零的时候,负的乱眼 x 小于零,得出 x 大于一,从而得到该函数在零到一之间单调递增一到正无穷单调递减, 从而得出 fx。 有 z 大值,直接将一带入得到一,再对 gx 进行求导,等于一的 x 减去一。 当导数大于零的时候,得到 x 大于一。当导数小于零的时候,得到 x 大于零小于一,从而得到 gx。 在零到一之间单调递减,一到正无穷。单调递增,从而得 出 gx 有这小值。将一带入之后等于 k, 分别画出 fx 和 gx。 草图 fx 在零到一之间先增后减,接近于 x 轴 gx, 它的最小值等于 k 和 fs。 有焦点,说明其最小值必须比一要小,从而得到 k 小于等于一。 当我们看到每一项相同的时候,写出其通向公式 n 的平方分支络以 n 分母式 n 的平方,我们想到 n 的平方分支络以 n 的平方,再将 n 的平方转化为 x, 从而得到 x 分之。若影 x, 再联想到题目所给的函数,利用 第二问,我们知道 f x 的最大值等于 f, 一等于一,从而得到 x 分之一。加上落音 x 小于等于一。化解之后, e 加上落音 x 小于等于 x。 该数列中 n 大于等于二。总而知道,当 x 大于二的时候,一加上落眼 x 小于 x, 我们再将其中的 x 换成 n 的平方。小于 n 的平方, 从而得到乱。以 n 的平方小于 n 方,减去一。再同时除以 n 的平方。小于 n 的平方分之。 n 方减一化减之后,一减去 n 的平方分之一。再接着化减,得到二乘以 n 的平方 分之。洛意恩小于一,减去 n 的平方分之一。 n 的平方分之。洛意恩小于二分之一,一减去 n 的平方分之一。 写到这里。将所有式的相加没法计算,我们想到列向求和,需要对 n 的平方进行放缩。小于 n 乘以 n 加一, 从而得到 n 的平方分之一。大于 n 分之一,减去 n 加一分之一,从而得到 n 的平方分之。落以 n 小于二分之一,一减去 n 分之一。减去 n 加一分之一。 该整体我记做 sn, 从而得到 sn 小于二分之一,将二带入二分之一,减去三分之一, 加上二分之一,一减去三分之一,减去四分之一,一直加到 n。 该结果通过计算之后,刚好等于四倍的 n 加一分之二, n 的平方减去 n, 减去一,该结论成立。

这是高考压轴题的最后一位,一个有纸有对的不准时证明。很多人一看不准时证明,立马想到的是做叉求导球对小直大一点,然后去证明,但这个题型不同,有纸有对的还不能试,你做完叉之后,你求导会发现倒数你完全无法驾驭,无法计算。 所以当我们看到有只有对的不等式的时候,我们第一想到的是凹凸反转勾当,然后去证明不等式。那凹凸反转的主要依据呢?就是我们前面讲的八的黄金函数。 那比如这个题 l x, 注意大月号这边我们只能构造成凹的形式,而小月号这边构造成凸的形式,所以这个呢? lx 呢?咱们能构造成凹的形式就是一个 一的 x 分之一呢,构造成图的形式也只有这一个。所以这个题目很明显,在等式两边同时乘上一个 x 就可以了,因为 x 大于零,所以这个等不等式跟这不等式等加大,因为 x 他不会影响符号方向,对吧? 然后呢,第二步呢,咱们只需要分别去他们的对直就可以了,左边的最小值刚好是负一分之一,而右边的最大值呢,刚好是也是负一分之一,而且这两个点是不在同一个 s 数去的,所以从图像上我们能看出,这个函数肯定比这个函数要大。

今天我们来讲明 fx 大于零,恒成力。按照常规思路,我们会将这个问题转化为最值问题,即证明 fx 最小值大于零。但有的时候我们会发现 fx 的最值是非常难以求得的,那么此时我们就可以运用凹凸反转的思路。其具体步骤时, 首先是将 f x 重新构造,将函数改写为 gx 减 hx。 而构造的具体要求是, gx 是仅有一个极小值的凹函数, hx 是仅有一个极大值的凸函数。需要注意的是,这里的凹函数和凸函数 并不是高等数学中严格意义上的函数的凹凸性,只是为了证明函数在定义域内仅有一个极大值或者仅有一个极小值,那么此时我们将 fx 大于零就可以转化成 gxgmhx 大于零,那么我们只需证明 gx 大于 hx 即可。同样的, 把这个问题转化成最值问题,那么我们只需证明 gx 的最小值大于 hx 的最大值即可。总结一下,凹凸反转的核心内容就是将一个不易求得极值的函数重新构造成两个容易求得极值的函数,从而利用这两个最之间的大小关系来证明原函数的恒成率问题。 通常我们构造的目标函数就是之前所讲的六大统购函数,下面我们通过一道例题来进行详细讲解。默观察,这是一道证明号称力的题目, 是按照传统思路一向求导的话,我们会发现导函数的正负是非常难以进行判断的,所以我们可以尝试一下凹凸反转的方法。这个时候我们在不等式的左边看到 lao x, 在不等式的右边看到了 e 的 x 次分之一,那么我们就想到了六大同购函数当中的 x 倍的浪 x 和 e x 次分之 x。 因为 x 大于零,所以我们在 在不等式的两边同时乘以 x, 将原不等式改写成下面这种形式。这里我们令 gx 等于 x, 乘以 lowx, 令 hx 等于 ex 四分之 x 减一分之二。那么根据我们之前所讲的内容,我们可以很轻松的判断出 gx 和 hx 的最值。很显然, gx 最小值是恒大于 hx 的最大值的 一,我们可以证明 gx 大于 hx 横成立也就意味着原不等式横成立下课。

什么叫奥拓班长?怎么用呢?当出现一个非常复杂的不等式要的证明的时候,我们可以把它分成两个函数,一个 gx 大于等于一个 hx, 如果呢,这个 gx 是一个这样的函数啊,是个向下凹的,而这个 h 呢,是个向上凸的,这个的最小值比这个最大值都要大,就可以证明了,对不对?这个方法就叫 out 反转。这个时候呢,我们要常记一些函数模型。好了,我们把这个题证明一下, 先写一个漂亮的结, f x, a 倍的 e 的 x 除以 x, 加上 long x, 减去 x, 然后呢,再减去一个两倍的 long x, 我们直接去括号这个地方变加号,这个地方变减号好,大 于等于我们把这个后面的擦掉啊,也顺便跟他说下,为什么不讲压轴大体呢?因为黑板太小,还有呢,时间太长,可能大家不感兴趣, 好,看一下效果怎么样吧。大于等于 long a x 除以 x, 再减去 long x, 再加上 e, 减一好 lungs, 减去两个 lungs, foot lungs, 这有个 foot lungs 消掉,减 x 加 x 又消掉,所以就是要证明这个减去 x 的比它大。那么怎么做呢? e x, x 就是我们的六大函数模型, long x, x 又是我们六大函数模型之一,好,我们把它构造一下,再进行改变,把这个 x 分之一啊,拿过来,就大于等于 x 分之 long a x 加上一,再加上一减一好,这个一呢,我们是不是可以把它写成 long e 就行了。所以呢,就是 a 的一的 x 除以 x 大于等于 x 分之,对数相加,等于增数相乘,再加上他 好,是不要求他的最小值。于是呢,我们 google g x 等于 a 倍的 e 的 x 除 x, 这个函数什么时候取最小,你们可以就自己证明一下,我在短视频里面就不证明了,但是取一的时候, 所以呢,他的最小值就等于 a 乘以一分之 e 的一次方,也就是 a 倍的 e。 好,这个函数呢,我们可以把它写成一个 h x 等于 long a e x 打个括号吧, 除以一个 a e x 再乘一个 a e。 好,我们把这个 a e x 当为字母 t, 它的最大值是,当这个取几个?什么取 e 的时候,于是呢,就等于 e 分之 浪, e 乘以 a b 的 e, 于是呢,约掉就等于几呢?就等于 a 啊,这个是需要你们自己去证明的啊,证明一个浪 t, 所以 t 的最大值是,当这个 t 取 e 的时候, e x x x star x 取 e 的时候,这个交给大家去证明。所以呢,我只需要证明 a 倍的 e 大于等于 a 加 e 减一就可以了。好,我把它拿过去,是不是 a e 减 a 减 e 加一要大于等于。好,这个我们把 a 提出来, a 倍的 一减一减去,一减一大于等于,那证明这个式子,于是呢, a 减一乘以一减一大于等零, e 肯定大于等于 a 大于一,所以这个式子很成立。这样的题目思路就很清晰了,什么叫做凹凸反转,大家听懂没有?需要领取高中数学大招资料和试听课,点击左下角私信六六六。